精英家教网 > 高中数学 > 题目详情

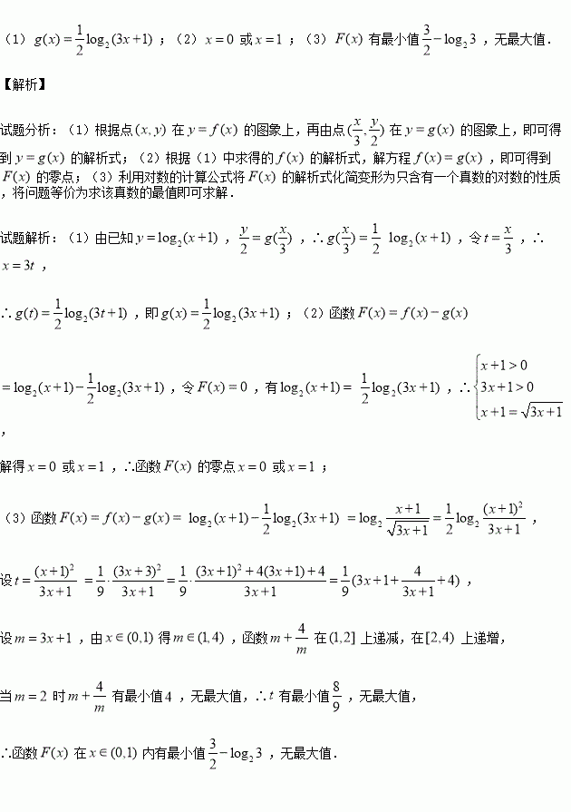
已知函数,当点在函数的图象上运动时,点在函数)的图象上运动.

(1)求函数的解析式;

(2)求函数的零点.

(3)函数上是否有最大值、最小值;若有,求出最大值、最小值;若没有请说明理由.

练习册系列答案
相关习题

科目:高中数学 来源:2015-2016学年安徽省高二上期中文科数学试卷(解析版) 题型:选择题

总体有编号为个个体组成.利用下面的随机数表选取个个体,选取方法是从随机数表第行的第列和第列数字开始由左到右依次选取两个数字,则选出来的第个个体的编号为( )

A. B. C. D.

查看答案和解析>>

科目:高中数学 来源:2016届安徽省等高三第三次联考文科数学卷(解析版) 题型:选择题

函数上的大致图象是( )

查看答案和解析>>

科目:高中数学 来源:2015-2016学年浙江省高二上期中数学试卷(解析版) 题型:选择题

已知一个高度不限的直三棱柱,点是侧棱上一点,过作平面截三棱柱得截面,给出下列结论:

是直角三角形;

是等边三角形;

③四面体为在一个顶点处的三条棱两两垂直的四面体.

其中有不可能成立的结论的个数是( )

A.0 B.1 C.2 D.3

查看答案和解析>>

科目:高中数学 来源:2015-2016学年浙江慈溪中学高一7-12班上期中数学卷(解析版) 题型:解答题

(1)当,求的值;

(2)设,求的值.

查看答案和解析>>

科目:高中数学 来源:2015-2016学年浙江慈溪中学高二2-10班上期中数学卷(解析版) 题型:解答题

如图,四棱锥中,底面是平行四边形,平面,垂足为在线段上,的中点,四面体的体积为

(1)求异面直线所成角的余弦值;

(2)棱上是否存在一点,使,若存在,求的值,若不存在,请说明理由.

查看答案和解析>>

科目:高中数学 来源:2015-2016学年云南省高一上期中数学试卷(解析版) 题型:选择题

若函数上的减函数,则实数的取值范围是( )

A. B. C. D.

查看答案和解析>>

科目:高中数学 来源:2015-2016学年上海师大附中高二上期中数学试卷(解析版) 题型:填空题

如图,△ABC的外接圆的圆心为O,AB=2,AC=3,,则________.

查看答案和解析>>

科目:高中数学 来源:2015-2016学年江西省吉安市高二上二段考理科数学卷(解析版) 题型:解答题

(1)设不等式的解集为,若的必要条件,求的取值范围;

(2)已知命题:“,使等式成立”是真命题,求实数m的取值范围.

查看答案和解析>>

同步练习册答案