精英家教网 > 高中数学 > 题目详情

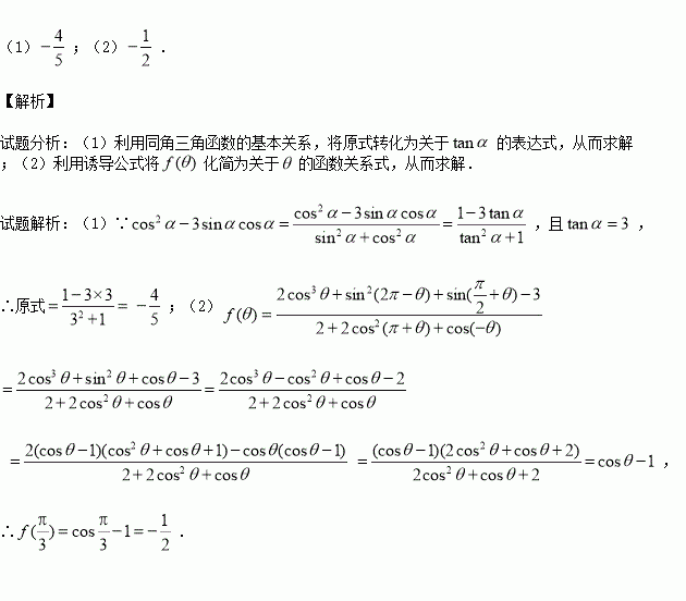
(1)当,求的值;

(2)设,求的值.

练习册系列答案
相关习题

科目:高中数学 来源:2015-2016学年安徽省高二上期中文科数学试卷(解析版) 题型:解答题

设关于的一元二次方程

(Ⅰ)若是从0,1,2,3四个数中任取的一个数,是从0,1,2三个数中任取的一个数,

求上述方程有实数根的概率;

(Ⅱ)若是从区间任取的一个数,是从区间任取的一个数,求上述方程有实数根的概率.

查看答案和解析>>

科目:高中数学 来源:2016届湖南省六校高三12月联考理科数学卷(解析版) 题型:选择题

已知复数满足,则( )

A. B. C. D.

查看答案和解析>>

科目:高中数学 来源:2015-2016学年重庆市高一上期中数学试卷(解析版) 题型:选择题

关于的方程有两个不相等的实数根,且满足则实数的取值范围是( )

A. B. C. D.

查看答案和解析>>

科目:高中数学 来源:2015-2016学年浙江省高二上期中数学试卷(解析版) 题型:选择题

把球的表面积扩大到原来的2倍,那么体积扩大到原来的( )

A.2倍 B.倍 C.倍 D.

查看答案和解析>>

科目:高中数学 来源:2015-2016学年浙江省高一4-6班上期中数学卷(解析版) 题型:解答题

已知函数,当点在函数的图象上运动时,点在函数)的图象上运动.

(1)求函数的解析式;

(2)求函数的零点.

(3)函数上是否有最大值、最小值;若有,求出最大值、最小值;若没有请说明理由.

查看答案和解析>>

科目:高中数学 来源:2015-2016学年浙江慈溪中学高二2-10班上期中数学卷(解析版) 题型:填空题

在三棱锥中,侧棱两两垂直,的面积分别为,则的面积为__________;三棱锥的内切球半径为__________.

查看答案和解析>>

科目:高中数学 来源:2015-2016学年上海师大附中高一上期中数学试卷(解析版) 题型:填空题

对于集合,定义运算:.若,则

查看答案和解析>>

科目:高中数学 来源:2015-2016学年河南省高二12月月考文科数学卷(解析版) 题型:解答题

已知函数

(Ⅰ)求

(Ⅱ)求函数图象上的点处的切线方程.

查看答案和解析>>

同步练习册答案