精英家教网 > 高中数学 > 题目详情

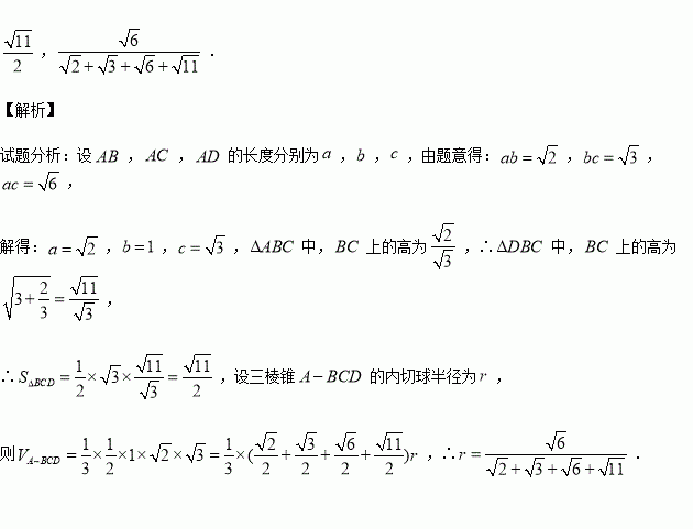
在三棱锥中,侧棱两两垂直,的面积分别为,则的面积为__________;三棱锥的内切球半径为__________.

练习册系列答案
相关习题

科目:高中数学 来源:2016届浙江省高三上学期期中文科数学试卷(解析版) 题型:填空题

若下图为某直三棱柱(侧棱与底面垂直)被削去一部分后的直观图与三视图中的侧视图、俯视图,则其正视图的面积为 ,三棱锥的体积为

查看答案和解析>>

科目:高中数学 来源:2016届安徽省等高三第三次联考理科数学试卷(解析版) 题型:选择题

的终边与单位圆的交点的横坐标为,则的值为( )

A. B. C. D.

查看答案和解析>>

科目:高中数学 来源:2015-2016学年浙江慈溪中学高一7-12班上期中数学卷(解析版) 题型:解答题

(1)当,求的值;

(2)设,求的值.

查看答案和解析>>

科目:高中数学 来源:2015-2016学年浙江省高一4-6班上期中数学卷(解析版) 题型:填空题

已知函数有且仅有一个正实数的零点,则实数的取值范围是

查看答案和解析>>

科目:高中数学 来源:2015-2016学年云南省高一上期中数学试卷(解析版) 题型:选择题

若函数上的减函数,则实数的取值范围是( )

A. B. C. D.

查看答案和解析>>

科目:高中数学 来源:2015-2016学年四川树德、雅安中学高一10月考试数学卷(解析版) 题型:选择题

是定义在上的奇函数,当时,,则上的表达式为( )

A. B. C. D.

查看答案和解析>>

科目:高中数学 来源:2015-2016学年黑龙江齐齐哈尔实验中学高一上期中数学卷(解析版) 题型:选择题

,则函数的图象一定不经过( )

A.第一象限 B.第二象限 C.第三象限 D.第四象限

查看答案和解析>>

科目:高中数学 来源:2015-2016学年福建省高二上期中理科数学试卷(解析版) 题型:选择题

设等差数列的首项和公差都是非负的整数,项数不少于3,且各项和为,则这样的数列共有( )

A.2个 B.3个 C.4个 D.5个

查看答案和解析>>

同步练习册答案