精英家教网 > 高中数学 > 题目详情

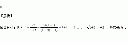
是虚数单位,复数,则=( )

A.1 B. C. D.2

练习册系列答案
相关习题

科目:高中数学 来源:2016届湖南师范大学附中高三上学期月考三理科数学试卷(解析版) 题型:选择题

已知的面积为1,为直角顶点.设向量,则的最大值为( )

A.1 B.2 C.3 D.4

查看答案和解析>>

科目:高中数学 来源:2015-2016学年四川省实验学校高二上学期期中文科数学试卷(解析版) 题型:选择题

已知,则直线通过

A.第一、二、三象限 B.第一、二、四象限

C.第一、三、四象限 D.第二、三、四象限

查看答案和解析>>

科目:高中数学 来源:2016届山东省高三11月月考数学试卷(解析版) 题型:选择题

设集合,若,则的取值范围是( )

(A) (B) (C) (D)

查看答案和解析>>

科目:高中数学 来源:2016届辽宁省抚顺市高三12月月考理科数学试卷(解析版) 题型:解答题

选修4—4:坐标系与参数方程选讲.

已知直线的参数方程为为参数),以坐标原点为极点,轴的正半轴为极轴建立极

坐标系,圆的极坐标方程为

(1)求圆的直角坐标方程;

(2)若是直线与圆面的公共点,求的取值范围.

查看答案和解析>>

科目:高中数学 来源:2016届湖南师大附中高三月考四文科数学试卷(解析版) 题型:选择题

设集合,从集合中任取一个元素,则这个元素也是集合中元素的概率是( )

A. B. C. D.

查看答案和解析>>

科目:高中数学 来源:2016届湖南省长沙市高三第一次月考文科数学试卷(解析版) 题型:选择题

为两个不相等的集合,条件,条件,则的( )

A.充分不必要条件

B.充要条件

C.必要不充分条件

D.既不充分也不必要条件

查看答案和解析>>

科目:高中数学 来源:2015-2016学年甘肃省高一上期中数学试卷(解析版) 题型:解答题

已知函数

(1)当时,求函数上的值域;

(2)是否存在实数,是函数的定义域为,值域为?若存在,求出的值;若不存在,请说明理由.

查看答案和解析>>

科目:高中数学 来源:2015-2016学年湖北省武汉市高二上学期期中考试数学试卷(解析版) 题型:选择题

到直线的距离是( )

A. B. C. D.

查看答案和解析>>

同步练习册答案