精英家教网 > 高中数学 > 题目详情

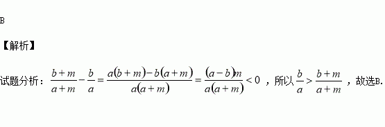
已知,下列选项正确的是( )

A. B.

C. D.不确定

练习册系列答案
相关习题

科目:高中数学 来源:2017届河北衡水中学高三摸底联考(全国卷)数学(理)试卷(解析版) 题型:填空题

如图,为测量出山高,选择和另一座山的山顶为测量观测点,从点测得点的仰角点的仰角以及,从点测得,已知山高,则山高

查看答案和解析>>

科目:高中数学 来源:2015-2016学年山东临沂十八中高一6月月考数学试卷(解析版) 题型:解答题

若满足方程:x2+y2﹣2(t+3)x+2(1﹣4t2)y+16t4+9=0(t∈R)的点的轨迹是圆.

(1)求t的取值范围;

(2)求其中面积最大的圆的方程;

(3)若点P(3,4t2)恒在所给的圆内,求t的取值范围.

查看答案和解析>>

科目:高中数学 来源:2015-2016学年山东临沂十八中高一6月月考数学试卷(解析版) 题型:选择题

从3名男同学,2名女同学中任选2人参加体能测试,则选到的2名同学中至少有一名男同学的概率是( )

A. B. C. D.

查看答案和解析>>

科目:高中数学 来源:2015-2016学年陕西延川县中学高二下学期期中数学(理)试卷(解析版) 题型:填空题

已知,若,则实数的值为 .

查看答案和解析>>

科目:高中数学 来源:2015-2016学年陕西延川县中学高二下学期期中数学(理)试卷(解析版) 题型:选择题

设原命题为:“若空间两个向量)共线,则存在实数,使得”则其逆命题、否命题、逆否命题为真的个数( )

A.1 B.2 C.3 D.4

查看答案和解析>>

科目:高中数学 来源:2015-2016学年江苏徐州沛县中学高二下学期质检二数学(理)试卷(解析版) 题型:填空题

命题的否定是_____________.

查看答案和解析>>

科目:高中数学 来源:2015-2016学年河北秦皇岛卢龙县高二下学期期末数学(文)试卷(解析版) 题型:选择题

已知双曲线的左支上一点到右焦点的距离为是线段的中点,是坐标原点,则等于( )

A. B. C. D.

查看答案和解析>>

科目:高中数学 来源:2016-2017学年山东鄄城县一中高二上月考一数学试卷(解析版) 题型:填空题

设等比数列的前项和为,若,则 .

查看答案和解析>>

同步练习册答案