精英家教网 > 高中数学 > 题目详情

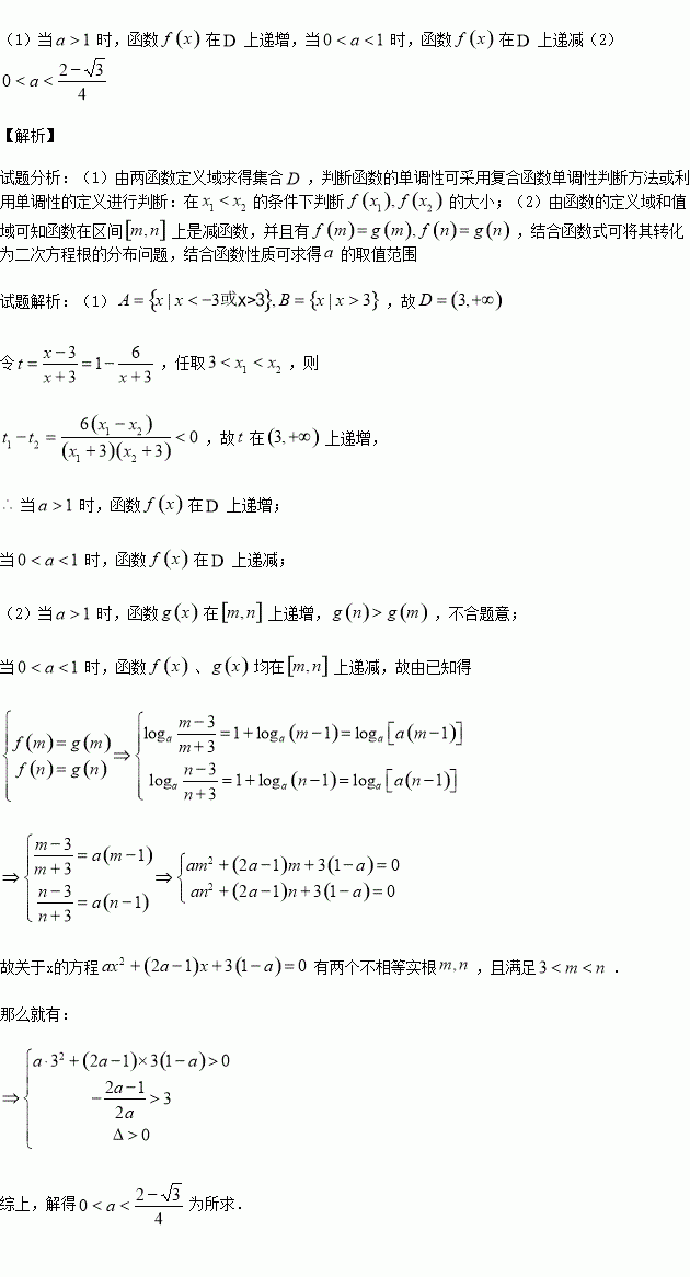
(共12分)设,函数,两函数的定义域分别为集合A,B,若将

(1)试求函数上的单调性;

(2)若,函数上的值域恰好为,求的取值范围.

练习册系列答案
相关习题

科目:高中数学 来源:2016届云南省玉溪市高三上学期期中理科数学试卷(解析版) 题型:选择题

张、王两家夫妇各带1个小孩一起到动物园游玩,购票后排队依次入园。为安全起见,首尾一定要排两位爸爸,另外,两个小孩一定要排在一起,则这6人的入园顺序排法种数共有( )

A.12种 B.24种 C.36种 D.48种

查看答案和解析>>

科目:高中数学 来源:2015-2016学年江西南昌二中高二上学期期中文科数学试卷(解析版) 题型:填空题

如图,圆轴相切于点,与轴正半轴

交于两点的上方),且

(Ⅰ)圆的标准方程为

(Ⅱ)过点任作一条直线与圆相交于两点,下列三个结论:

; ②;③

其中正确结论的序号是 .(写出所有正确结论的序号)

查看答案和解析>>

科目:高中数学 来源:2015-2016学年吉林实验中学高二上学期期中文科数学试卷(解析版) 题型:解答题

(本小题12分)

已知,两个命题,函数内单调递减;曲线轴交于不同两点,如果是假命题,是真命题,求实数a的取值范围.

查看答案和解析>>

科目:高中数学 来源:2015-2016学年吉林实验中学高二上学期期中理科数学试卷(解析版) 题型:选择题

已知椭圆为其左、右焦点,为椭圆上任一点,的重心为,内心,且有(其中为实数),椭圆的离心率

(A) (B) (C) (D)

查看答案和解析>>

科目:高中数学 来源:2015-2016学年湖南省常德市高一上学期期中数学试卷(解析版) 题型:填空题

已知,用表示=___________.

查看答案和解析>>

科目:高中数学 来源:2015-2016学年湖南省常德市高一上学期期中数学试卷(解析版) 题型:选择题

若集合,则( )

A. B. C. D.

查看答案和解析>>

科目:高中数学 来源:2015-2016学年广东省佛山市高一上学期期中数学试卷(解析版) 题型:填空题

是函数的单调递增区间___________.

查看答案和解析>>

科目:高中数学 来源:2016届浙江省嘉兴市高三上学期能力测试文科数学试卷(解析版) 题型:解答题

已知等差数列的首项,前项和为

(I) 求

(Ⅱ) 设,求的最大值.

查看答案和解析>>

同步练习册答案