精英家教网 > 高中数学 > 题目详情

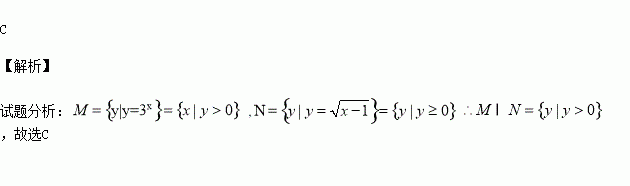
若集合,则( )

A. B. C. D.

练习册系列答案
相关习题

科目:高中数学 来源:2016届辽宁省葫芦岛市高三上学期期中理科数学试卷(解析版) 题型:选择题

为虚数单位,则复数的共轭复数在复平面内所对应的点位于( )

A.第一象限 B.第二象限 C.第三象限 D.第四象限

查看答案和解析>>

科目:高中数学 来源:2015-2016学年吉林省高一上学期期中数学试卷(解析版) 题型:填空题

函数的单调递减区间为

查看答案和解析>>

科目:高中数学 来源:2015-2016学年湖南省常德市高一上学期期中数学试卷(解析版) 题型:解答题

(共12分)设,函数,两函数的定义域分别为集合A,B,若将

(1)试求函数上的单调性;

(2)若,函数上的值域恰好为,求的取值范围.

查看答案和解析>>

科目:高中数学 来源:2015-2016学年湖南省常德市高一上学期期中数学试卷(解析版) 题型:选择题

设集合,则从A到B所建立的映射中,满足的个数是( )

A.2 B.6 C.7 D.27

查看答案和解析>>

科目:高中数学 来源:2015-2016学年湖北省高一上学期期中数学试卷(解析版) 题型:解答题

(本大题满分12分)已知集合

(1)若,求

(2)若,求实数的取值范围.

查看答案和解析>>

科目:高中数学 来源:2015-2016学年福建省高一上学期期中数学试卷(解析版) 题型:填空题

函数的定义域为

查看答案和解析>>

科目:高中数学 来源:2016届江西省新余市高三第四次模拟文科数学试卷(解析版) 题型:解答题

已知数列的前项和为,且满足

(1)求数列的通项公式

(2)设数列的前项和为,求证:

查看答案和解析>>

同步练习册答案