精英家教网 > 高中数学 > 题目详情

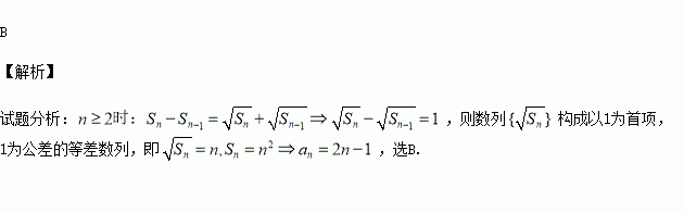
已知数列项和满足,则( )

B、 C、 D、

练习册系列答案
相关习题

科目:高中数学 来源:2016届辽宁省五校协作体高三上学期期初考试理科数学试卷(解析版) 题型:选择题

平面向量的夹角为60°,( )

A. B. C.4 D.12

查看答案和解析>>

科目:高中数学 来源:2015-2016学年江苏省沭阳县高二上学期期中考试数学试卷(解析版) 题型:填空题

在1L高产小麦种子中混入1粒带麦锈病的种子,从中随机取出20mL,则不含有麦锈病种子的概率为

查看答案和解析>>

科目:高中数学 来源:2014-2015学年贵州省高二上学期半期考试理科数学试卷(解析版) 题型:解答题

某公务员去开会,他乘火车、轮船、汽车、飞机去的概率分别是0.3、0.2、0.1、0.4,求:

(1)他乘火车或乘飞机去的概率;

(2)他不乘轮船去的概率

(3)如果他乘交通工具去的概率为0.5,请问他有可能是乘何种交通工具去的?

查看答案和解析>>

科目:高中数学 来源:2015-2016年湖北武汉华中师大一附高二上期中文科数学卷(解析版) 题型:填空题

在直角坐标系中,直线l的参数方程为为参数) .以原点O为极点,以x轴的非负半轴为极轴建立极坐标系,曲线C的极坐标方程为,则直线l和曲线C的公共点有____________个.

查看答案和解析>>

科目:高中数学 来源:2016上海复旦大学附中届高三上期中理科数学试卷(解析版) 题型:解答题

(本题满分14分,第1小题满分6分,第2小题满分8分).

已知向量,且. 设.

(1)求的表达式,并求函数上图像最低点的坐标.

(2)若对任意恒成立,求实数的范围.

查看答案和解析>>

科目:高中数学 来源:2016届河北省高三上学期四调文科数学试卷(解析版) 题型:解答题

(本小题满分12分)

已知函数.设取到最大值.

(1)求的最大值及的值;

(2)在中,角所对的边分别为,且,求的值.

查看答案和解析>>

科目:高中数学 来源:2015-2016学年吉林省高二11月月考理科数学卷(解析版) 题型:选择题

给出平面区域如图所示,其中若使目标函数仅在点处取得最大值,则的取值范围是

查看答案和解析>>

科目:高中数学 来源:2016届湖南省株洲市高三上学期期中理科数学试卷(解析版) 题型:选择题

已知实数x、y满足,如果目标函数的最小值为-1,则实数m=( ).

A、 6 B、5 C、4 D、3

查看答案和解析>>

同步练习册答案