精英家教网 > 高中数学 > 题目详情

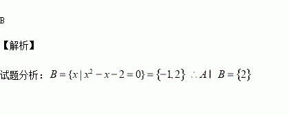
已知集合,则( )

A. B. C. D.

练习册系列答案
相关习题

科目:高中数学 来源:2014-2015学年上海市高二下学期期末考试数学试卷(解析版) 题型:解答题

(本题满分12分)如图,直线平面为正方形,,求直线所成角的大小.

查看答案和解析>>

科目:高中数学 来源:2015-2016学年江西省赣州市十三县高二上期中联考理科数学试卷(解析版) 题型:选择题

某三棱锥的三视图如图所示,该三棱锥的表面积是( )

A.28+6

B.30+6

C.56+12

D.60+12

查看答案和解析>>

科目:高中数学 来源:2015-2016学年湖北省宜昌市高二上期中理科数学试卷(解析版) 题型:选择题

已知圆C:与圆O:关于某直线对称,则直线的方程为 ( )

A、 B、

C、 D、

查看答案和解析>>

科目:高中数学 来源:2015-2016学年广东省普宁市高二上期中文科数学试卷(解析版) 题型:解答题

(本题满分14分)

已知函数图像上一点处的切线方程为,其中为常数.

(Ⅰ)函数是否存在单调减区间?若存在,则求出单调减区间(用表示);

(Ⅱ)若不是函数的极值点,求证:函数的图像关于点对称.

查看答案和解析>>

科目:高中数学 来源:2016届重庆市高三上学期第三次月考文科数学试卷(解析版) 题型:解答题

(本小题满分10分)选修4—4:参数方程选讲

极坐标系与直角坐标系有相同的长度单位,以原点为极点,以轴正半轴为极轴.已知曲线的极坐标方程为,曲线的参数方程为为参数,;射线与曲线分别交异于极点的四点

(1)若曲线关于曲线对称,求的值,并把曲线化成直角坐标方程;

(2)求的值.

查看答案和解析>>

科目:高中数学 来源:2016届重庆市高三上学期第三次月考理科数学试卷(解析版) 题型:解答题

(本小题满分12分)在△中,角所对的边分别为,且

(1)求的值;

(2)若边上的中线,求△的面积.

查看答案和解析>>

科目:高中数学 来源:2016届云南省玉溪市高三上学期期中理科数学试卷(解析版) 题型:选择题

若集合( )

A.{2,3} B. C.2 D.2,3

查看答案和解析>>

科目:高中数学 来源:2015-2016学年江西南昌二中高二上学期期中文科数学试卷(解析版) 题型:填空题

过圆上一点的切线方程: __________

查看答案和解析>>

同步练习册答案