精英家教网 > 高中数学 > 题目详情

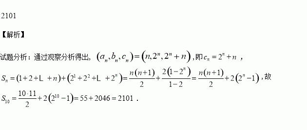
下面的数组均由三个数组成:.若数列的前项和为,则 (用数字作答).

练习册系列答案
相关习题

科目:高中数学 来源:2015-2016学年山西省高二下期中理科数学试卷(解析版) 题型:解答题

复数.

(1)若为实数,求的值;

(2)若为纯虚数,求的值;

(3)若,求的值.

查看答案和解析>>

科目:高中数学 来源:2015-2016学年甘肃省高一下期中数学试卷(解析版) 题型:解答题

从某居民区随机抽取10个家庭,获得第i个家庭的月收入xi(单位:千克)与月储蓄yi(单位:千元)的数据资料,计算得=80,=20,=184,=720.

(I)求家庭的月储蓄y关于月收入x的线性回归方程=x+,并判断变量x与y之间是正相关还是负相关;

(II)若该居民区某家庭月收入为7千元,预测该家庭的月储蓄.(注:线性回归方程=x+中,=,其中为样本平均值.)

查看答案和解析>>

科目:高中数学 来源:2015-2016学年甘肃省高一下期中数学试卷(解析版) 题型:选择题

执行如图所示的程序框图,则输出s的值为( )

A. B. C. D.

查看答案和解析>>

科目:高中数学 来源:2015-2016学年山西省高二下期中文科数学试卷(解析版) 题型:解答题

某种产品的广告费支出(单位:百万元)与销售额(单位:百万元)之间有如下对应数据:

(1)请根据表中提供的数据,用最小二乘法求出关于的线性回归方程

(2)求估计广告费支出万元的销售额.

查看答案和解析>>

科目:高中数学 来源:2015-2016学年山西省高二下期中文科数学试卷(解析版) 题型:选择题

给出下列四个命题:

①因为,所以

②由两边同除,可得

③数列的一个通项公式是

④演绎推理是由一般到特殊的推理,类比推理是由特殊到特殊的推理.

其中正确命题的个数有( )

A.个 B.个 C.个 D.

查看答案和解析>>

科目:高中数学 来源:2015-2016学年山西省高二下期中文科数学试卷(解析版) 题型:选择题

某班共有人,其中人喜爱下象棋,人喜爱下围棋,人对这两项棋类都不喜爱,那么喜爱下围棋不喜爱下象棋的人数为( )

A.人 B.人 C.人 D.

查看答案和解析>>

科目:高中数学 来源:2015-2016学年山西省高二下期中理科数学试卷(解析版) 题型:选择题

在函数的图象上有点列,若数列是等差数列,数列是等比数列,则函数的解析式可能为( )

A. B. C. D.

查看答案和解析>>

科目:高中数学 来源:2015-2016学年广东实验中学高二下期中文科数学试卷(解析版) 题型:选择题

如图,网格纸上的小正方形的边长为l,粗线画出的是某几何体的三视图,若该几何体的顶点都在一个球面上,则该球的表面积为( )

A.12 B.24 C.36 D.48

查看答案和解析>>

同步练习册答案