精英家教网 > 高中数学 > 题目详情

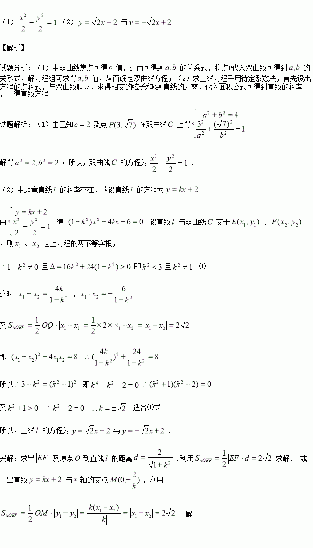
已知双曲线的两个焦点为在双曲线C上.

(1)求双曲线C的方程;

(2)记O为坐标原点,过点Q (0,2)的直线l与双曲线C相交于不同的两点E、F,若△OEF的面积为求直线l的方程.

练习册系列答案
相关习题

科目:高中数学 来源:2015-2016学年湖北武汉华中师大一附高二上期中理数学卷(解析版) 题型:选择题

双曲线的焦点到渐近线的距离为( )

A. B.2 C. D.

查看答案和解析>>

科目:高中数学 来源:2016届福建省高三上学期期中考理科数学试卷(解析版) 题型:解答题

已知函数),其图像过点

(Ⅰ)求的值;

(Ⅱ)将函数图像上各点向左平移个单位长度,得到函数的图像,求函数上的单调递增区间.

查看答案和解析>>

科目:高中数学 来源:2015-2016学年湖南师大附中高二上学期期中文科数学试卷(解析版) 题型:选择题

下列结论中正确的是( )

A.当时,

B.当时,

C.当时,的最小值是2

D.当时, 无最大值

查看答案和解析>>

科目:高中数学 来源:2015-2016学年湖南衡阳八中高二上第二次月考理科数学卷(解析版) 题型:解答题

已知动圆过定点,且在y轴上截得弦长为4.

(1)求动圆圆心的轨迹Q的方程;

(2)已知点为一个定点,过E作斜率分别为的两条直线交轨迹于点四点,且分别是线段的中点,若,求证:直线过定点.

查看答案和解析>>

科目:高中数学 来源:2014-2015学年贵州省高二上学期半期考试文科数学试卷(解析版) 题型:选择题

在如图所示的“茎叶图”表示的数据中,众数和中位数分别 ( ).

A.23与26 B.31与26

C.24与30 D.26与30

查看答案和解析>>

科目:高中数学 来源:2016届四川省成都市高三11月阶段测试文科数学试卷(解析版) 题型:解答题

设命题;命题

(1)若命题所表示不等式的解集为,求实数的值;

(2)若的必要不充分条件,求实数t的取值范围.

查看答案和解析>>

科目:高中数学 来源:2016届湖南师范大学附中高三上学期月考三理科数学试卷(解析版) 题型:解答题

已知函数的图象关于直线对称,其中为常数,且

(1)求函数的最小正周期;

(2)若存在,使,求的取值范围.

查看答案和解析>>

科目:高中数学 来源:2015-2016学年四川省实验学校高二上学期期中文科数学试卷(解析版) 题型:填空题

直线的倾斜角的范围是

查看答案和解析>>

同步练习册答案