精英家教网 > 高中数学 > 题目详情

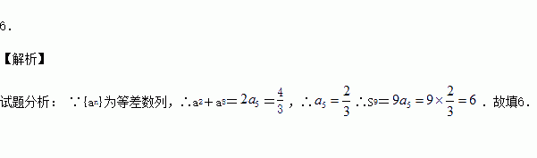
已知{an}为等差数列,a2+a8=,则S9=

练习册系列答案
相关习题

科目:高中数学 来源:2015-2016学年广西钦州港经济技术开发区中学高二上期中文科数学卷(解析版) 题型:选择题

某中学高三年级从甲、乙两个班级各选出7名学生参加数学竞赛,他们取得的成绩(满分100分)的茎叶图如图,其中甲班学生的平均分是85,乙班学生成绩的中位数是83.则x+y的值为( )

A.7 B.8 C.9 D.10

查看答案和解析>>

科目:高中数学 来源:2015-2016学年河北邢台一中高二上第三次月考理科数学卷(解析版) 题型:解答题

已知椭圆的中心在坐标原点,焦点在坐标轴上,且经过两点.

(Ⅰ)求椭圆的方程;

(Ⅱ)若平行于的直线交椭圆于两个不同点,直线的斜率分别为,试问:是否为定值?若是,求出此定值;若不是,说明理由.

查看答案和解析>>

科目:高中数学 来源:2015-2016学年四川省实验学校高一上学期期中考试数学试卷(解析版) 题型:解答题

若集合 ,且,求实数的取值集合.

查看答案和解析>>

科目:高中数学 来源:2015-2016学年贵州省高二上滾动训练4数学试卷(解析版) 题型:填空题

的值为

查看答案和解析>>

科目:高中数学 来源:2015-2016学年贵州省高二上滾动训练2数学试卷(解析版) 题型:解答题

在△中,内角的对边分别是,且

(Ⅰ)求

(Ⅱ)设,求的值.

查看答案和解析>>

科目:高中数学 来源:2015-2016学年贵州省高二上滾动训练1数学试卷(解析版) 题型:选择题

设0<a<b,则下列不等式中正确的是( )

A.a<b< B.a<<b

C.a<<b< D.<a<<b

查看答案和解析>>

科目:高中数学 来源:2015-2016年北大附中河南分校高二宏志班上抽考文数学卷(解析版) 题型:选择题

已知实数满足不等式组,则关于的方程的两根之和的最大值和最小值分别是( )

A. B. C. D.

查看答案和解析>>

科目:高中数学 来源:2016届内蒙古赤峰二中高三上12月月考文科数学试卷(解析版) 题型:解答题

从某校随机抽取100名学生,获得了他们一周课外阅读时间(单位:小时)的数据,整理得到数据分组及频数分布表和频率分布直方图:

(Ⅰ)从该校随机选取一名学生,试估计这名学生该周课外阅读时间少于12小时的概率;

(Ⅱ)求频率分布直方图中的a,b的值;

(Ⅲ)假设同一组中的每个数据可用该组区间的中点值代替,试估计样本中的100名学生该周课外阅读时间的平均数在第几组(只需写出结论)

查看答案和解析>>

同步练习册答案