精英家教网 > 高中数学 > 题目详情

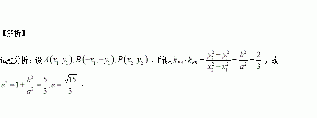
已知是双曲线上的不同三点,且连线经过坐标原点,若直线的斜率乘积,则该双曲线的离心率( )

A. B.

C. D.

练习册系列答案
相关习题

科目:高中数学 来源:2017届四川双流中学高三文必得分训练1数学试卷(解析版) 题型:填空题

函数的值域为 _________.

查看答案和解析>>

科目:高中数学 来源:2017届山西运城市高三理上学期期中数学试卷(解析版) 题型:填空题

设数列的前项和为,已知,则的通项公式为

查看答案和解析>>

科目:高中数学 来源:2017届江西吉安市高三理上段考二数学试卷(解析版) 题型:解答题

已知椭圆的离心率为,其左顶点在圆上.

(Ⅰ)求椭圆的方程;

(Ⅱ)若点为椭圆上不同于点的点,直线与圆的另一个交点为,是否存在点,使得?若存在,求出点的坐标;若不存在,说明理由

查看答案和解析>>

科目:高中数学 来源:2017届江西吉安市高三理上段考二数学试卷(解析版) 题型:填空题

,则

查看答案和解析>>

科目:高中数学 来源:2017届江西吉安市高三理上段考二数学试卷(解析版) 题型:选择题

随机变量,则( )

A.0.0215 B.0.1359

C.0.1574 D.0.2718

(参考数据:

查看答案和解析>>

科目:高中数学 来源:2017届湖南师大附中高三理上学期月考四数学试卷(解析版) 题型:解答题

如图,正方形的边长为4,分别为的中点,将正方形沿着线段折起,使得,设的中点.

(1)求证:

(2)求直线与平面所成角的正弦值;

(3)设分别为线段上一点,且平面,求线段长度的最小值.

查看答案和解析>>

科目:高中数学 来源:2017届湖南师大附中高三理上学期月考四数学试卷(解析版) 题型:选择题

执行如图所示的程序框图,则输出的值为( )

A.3 B.4 C.5 D.6

查看答案和解析>>

科目:高中数学 来源:2016-2017学年湖南师大附中高一上学期段测三数学试卷(解析版) 题型:选择题

已知函数,则下列图象错误的是( )

查看答案和解析>>

同步练习册答案