精英家教网 > 高中数学 > 题目详情
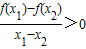
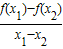
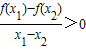
已知函数y=f(x)是R上的偶函数,对于x∈R都有f(x-6)=f(x)+f(3)成立,且f(0)=-2,当x1,x2∈[0,3],且x1≠x2时,都有>0.则给出下列命题:
①f(2010)=-2;
②函数y=f(x)图象的一条对称轴为x=-6;
③函数y=f(x)在[-9,-6]上为增函数;
④方程f(x)=0在[-9,9]上有4个根.
其中正确命题的序号是    .(请将你认为是真命题的序号都填上)
【答案】分析:①对于条件:“x∈R都有f(x+6)=f(x)+f(3)成立”,令x=-3,再结合函数为偶函数可得f(-3)=f(3)=0,代入已知条件可得函数的周期为6,从而得到f(2010)=-2;
②欲证“直线x=-6是函数y=f(x)的图象的一条对称轴”,即证f(-6+x)=f(-6-x);
③当x1,x2∈[0,3]且x1≠x2时,都有 ,说明函数在区间上是增函数,再用周期性的奇偶性可得结论不正确;
④由①的结论可知在区间[-9,9]上f(-9)=f(-3)=f(3)=f(9)=0,再结合单调函数根的分布可得结论正确.
解答:解:对于①,先令x=3,即有f(-3)=f(3)+f(3),
再依据函数y=f(x)是R上的偶函数,有f(-3)=f(3),得f(3)=0,
这样f(x-6)=f(x)+f(3)=f(x)函数f(x)的周期就是6,
因此f(2010)=f(335×6)=f(0)=-2;
对于②,∵f(x-6)=f(x)+f(3),
又∵f(-x-6)=f(-x)+f(3),且f(-x)=f(x)
∴f(-6+x)=f(-6-x)
∴直线x=-6是函数y=f(x)的图象的一条对称轴,故②对;
对于③,首先根据:当x1,x2∈[0,3]且x1≠x2时,都有
说明函数在区间[0,3]上是增函数,再结合函数的周期为6,
将区间[0,3]右移6个单位,可得函数在[6,9]上为增函数
又∵函数为偶函数,在关于原点对称的区间上单调性相反
∴函数y=f(x)在[-9,-6]上为减函数,可得③不正确;
对于④,根据①的结论,f(-3)=f(3)=0,再结合函数周期为6
得f(-9)=f(-3)=f(3)=f(9)=0,
再根据在某个区间上的单调函数在这个区间内至多有一个零点,
得函数f(x)在[-9,9]上只有以上4个零点,所以④正确.
故答案为①②④.
点评:抽象函数是相对于给出具体解析式的函数来说的,它虽然没有具体的表达式,但是有一定的对应法则,满足一定的规律性.结合赋值法和准确把握对应法则及函数的相应的性质,是解决本题的关键.
练习册系列答案
相关习题

科目:高中数学 来源: 题型:

16、已知函数y=f(x)是R上的奇函数且在[0,+∞)上是增函数,若f(a+2)+f(a)>0,求a的取值范围.

查看答案和解析>>

科目:高中数学 来源: 题型:

2、已知函数y=f(x+1)的图象过点(3,2),则函数f(x)的图象关于x轴的对称图形一定过点(  )

查看答案和解析>>

科目:高中数学 来源: 题型:

已知函数y=f(x)是偶函数,当x<0时,f(x)=x(1-x),那么当x>0时,f(x)=
-x(1+x)
-x(1+x)

查看答案和解析>>

科目:高中数学 来源: 题型:

已知函数y=f(x)是定义在R上的奇函数,当x>0 时,f(x)的图象如图所示,则不等式x[f(x)-f(-x)]≤0 的解集为
[-3,3]
[-3,3]

查看答案和解析>>

科目:高中数学 来源: 题型:

已知函数y=f(x)的图象如图,则满足f(log2(x-1))•f(2-x2-1)≥0的x的取值范围为
(1,3]
(1,3]

查看答案和解析>>

同步练习册答案