精英家教网 > 高中数学 > 题目详情

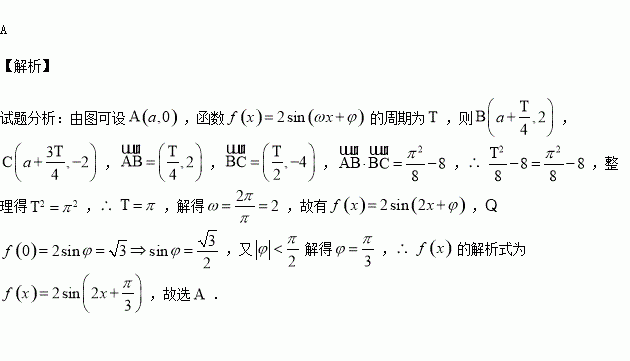
已知函数)的部分图象如图所示,分别是函数图象与轴交点、图象的最高点、图象的最低点.若,且.则的解析式为( )

A. B.

C. D.

练习册系列答案
相关习题

科目:高中数学 来源:2015-2016学年福建上杭一中高一下期末模拟二数学试卷(解析版) 题型:选择题

在平面直角坐标系中,已知点分别为轴,轴上一点,且,若点,则的取值范围是( )

A. B. C. D.

查看答案和解析>>

科目:高中数学 来源:2016届辽宁省高三四模理科数学试卷(解析版) 题型:解答题

如图,已知四棱锥的底面为菱形,.

(1)求证:

(2)求二面角的余弦值.

查看答案和解析>>

科目:高中数学 来源:2016届辽宁省高三四模理科数学试卷(解析版) 题型:选择题

设复数满足,(为虚数单位),则( )

A. B. C. D.

查看答案和解析>>

科目:高中数学 来源:2015-2016学年福建上杭一中高一下期末模拟一数学试卷(解析版) 题型:解答题

某中学团委组织了“弘扬奥运精神,爱我中华”的知识竞赛,从参加考试的学生中抽出名学生,将其成绩(均为整数)分成六段后画出如下部分频率分布直方图.观察图形给出的信息,回答下列问题:

(1)求第四小组的频率,并补全这个频率分布直方图;

(2)估计这次考试的及格率(分及以上为及格)和平均分.

查看答案和解析>>

科目:高中数学 来源:2015-2016学年福建上杭一中高一下期末模拟一数学试卷(解析版) 题型:选择题

总体由编号为个个体组成,利用下面的随机数表选取个个体,选取方法是从随机数表第行的第列和第列数字开始由左到右依次选取两个数字,则选出来的第个个体的编号为( )

A. B. C. D.

查看答案和解析>>

科目:高中数学 来源:2015-2016学年广西桂林十八中高二下期中文科数学试卷(解析版) 题型:解答题

已知,且.

(Ⅰ)求的最大值;

(Ⅱ)求证:.

查看答案和解析>>

科目:高中数学 来源:2015-2016学年广西桂林十八中高二下期中文科数学试卷(解析版) 题型:选择题

一个几何体的三视图如图所示(单位:cm),则该几何体的体积是

A. B C. D.7

查看答案和解析>>

科目:高中数学 来源:2015-2016学年黑龙江省高二下期中文数学试卷(解析版) 题型:选择题

如果圆上有且仅有两个点到原点的距离为2,那么实数的取值范围为( )

A. B.

C. D.

查看答案和解析>>

同步练习册答案