精英家教网 > 高中数学 > 题目详情

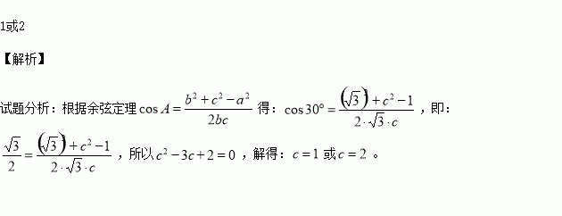
已知中,设三个内角所对的边长分别为,且,则边长c=__________.

练习册系列答案
相关习题

科目:高中数学 来源:2014-2015学年四川省高一下学期月考测文科数学试卷(解析版) 题型:选择题

ABC中,A,B,C为内角,且sinAcosA=sinBcosB则△ABC是 ( )

A.等腰三角形 B.直角三角形

C.等腰直角三角形 D.等腰或直角三角形

查看答案和解析>>

科目:高中数学 来源:2014-2015学年山西省高二下学期期中文科数学试卷(解析版) 题型:填空题

在直角坐标系xoy中,曲线C的参数方程是为参数),若以O为极点,x轴正半轴为极轴,则曲线C的极坐标方程是

查看答案和解析>>

科目:高中数学 来源:2014-2015学年江西省上饶市等四校高一6月考理科数学试卷(解析版) 题型:填空题

是夹角为60°的两个单位向量,若=2=-3+2, 则的夹角为 .

查看答案和解析>>

科目:高中数学 来源:2014-2015学年吉林省长春市高一下学期期末理科数学试卷(解析版) 题型:选择题

三棱锥三条侧棱两两垂直,PA=a,PB=b,PC=c,三角形ABC的面积为S,则顶点P到底面的距离是( )

A. B. C. D.

查看答案和解析>>

科目:高中数学 来源:2014-2015学年贵州省高二上学期期中文科数学试卷(解析版) 题型:填空题

已知F1、F2为椭圆的两个焦点,过F1的直线交椭圆于A、B两点,若,则= ___________。

查看答案和解析>>

科目:高中数学 来源:2014-2015学年贵州省高二上学期期中理科数学试卷(解析版) 题型:选择题

甲、乙、丙三人在3天节日中值班,每人值班1天,则甲紧接着排在乙的前面值班的概率是( )

A. B. C. D.

查看答案和解析>>

科目:高中数学 来源:2016届西藏日喀则一中高三10月检测理科数学试卷(解析版) 题型:填空题

已知,则

查看答案和解析>>

科目:高中数学 来源:2015-2016学年河北衡水冀州中学高二上期中文科数学B卷(解析版) 题型:解答题

(本小题12分)函数内只取到一个最大值和一个最小值,且当时,;当时,

(Ⅰ)求此函数的解析式;

(Ⅱ)求此函数的单调递增区间.

查看答案和解析>>

同步练习册答案