精英家教网 > 高中数学 > 题目详情

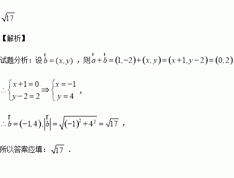
已知,则

练习册系列答案
相关习题

科目:高中数学 来源:2014-2015学年浙江省嵊州市高二下期末检测理科数学A卷(解析版) 题型:填空题

已知平面向量,且,则

查看答案和解析>>

科目:高中数学 来源:2014-2015学年湖北武汉一中等重点中学高一下学期期中理科数学试卷(解析版) 题型:填空题

已知中,设三个内角所对的边长分别为,且,则边长c=__________.

查看答案和解析>>

科目:高中数学 来源:2014-2015学年甘肃省高一下学期期中考试数学试卷(解析版) 题型:选择题

在区间上随机取一个的值介于之间的概率为( )

A. B. C. D.

查看答案和解析>>

科目:高中数学 来源:2016届西藏日喀则一中高三10月检测文科数学试卷(解析版) 题型:选择题

执行如图的程序框图,则输出的值为( )

A. B. C. D.

查看答案和解析>>

科目:高中数学 来源:2015-2016学年重庆市高一10月月考数学试卷(解析版) 题型:填空题

给定映射:,在映射下,的像为

查看答案和解析>>

科目:高中数学 来源:2015-2016学年浙江省高一10月月考数学试卷(解析版) 题型:选择题

已知函数的值域为,则实数的取值范围是( )

A. B.

C. D.

查看答案和解析>>

科目:高中数学 来源:2015-2016学年湖北宜昌市高一上期中考试数学试卷(解析版) 题型:解答题

(本题满分14分)已知定义在区间上的函数,其中常数

(1)若函数分别在区间上单调,试求的取值范围;

(2)当时,方程有四个不相等的实根

①证明:

②是否存在实数,使得函数在区间单调,且的取值范围为,若存在,求出的取值范围;若不存在,请说明理由.

查看答案和解析>>

科目:高中数学 来源:2014-2015学年陕西省西安市高三上学期期中考试文科数学试卷(解析版) 题型:解答题

(满分12分)已知,且

(Ⅰ)用表示数量积

(Ⅱ)求的最小值,并求出此时的夹角.

查看答案和解析>>

同步练习册答案