精英家教网 > 高中数学 > 题目详情

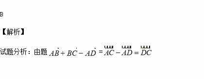
化简等于( )

A. B. C. D.

练习册系列答案
相关习题

科目:高中数学 来源:2016届山西省高三3月月考文科数学试卷(解析版) 题型:选择题

若变量满足约束条件,则的最大值为( )

A.-6 B.10 C.12 D.15

查看答案和解析>>

科目:高中数学 来源:2015-2016学年福建省泉州市四校高二上学期期末考试文科数学试卷(解析版) 题型:选择题

设线段AB的两个端点A、B分别在x轴、y轴上滑动, 且|AB|=4,点M是线段AB的中点,则点M的轨迹方程是( )

A. B. C. D.

查看答案和解析>>

科目:高中数学 来源:2015-2016学年北京市西城区高一上学期期末考试数学试卷(解析版) 题型:填空题

设向量,则的夹角等于_____.

查看答案和解析>>

科目:高中数学 来源:2015-2016学年北京市西城区高一上学期期末考试数学试卷(解析版) 题型:选择题

若直线是函数图象的一条对称轴,则的值可以是( )

A. B. C. D.

查看答案和解析>>

科目:高中数学 来源:2016届江苏省南京市高三第三次模拟考试数学试卷(解析版) 题型:解答题

设极坐标系的极点与直角坐标系的原点重合,极轴与x轴的正半轴重合.已知椭圆C的参数方程为(θ为参数),点M的极坐标为(1,).若P是椭圆C上任意一点,试求PM的最大值,并求出此时点P的直角坐标.

查看答案和解析>>

科目:高中数学 来源:2016届江苏省南京市高三第三次模拟考试数学试卷(解析版) 题型:解答题

如图,在直三棱柱ABC-A1B1C1中,D为棱BC上一点.

(1)若AB=AC,D为棱BC的中点,求证:平面ADC1⊥平面BCC1B1;

(2)若A1B∥平面ADC1,求的值.

查看答案和解析>>

科目:高中数学 来源:2015-2016学年广东省高二上学期期末考试文科数学试卷(解析版) 题型:解答题

已知椭圆C:的焦点是,且椭圆经过点

(1)求椭圆C的方程;

(2)设直线与椭圆交于两点,且以为直径的圆过椭圆右顶点,求证:直线l恒过定点.

查看答案和解析>>

科目:高中数学 来源:2015-2016学年广东省高二上学期期末考试理科数学试卷(解析版) 题型:选择题

在空间中,“两条直线没有公共点”是“这两条直线平行”的( )

A.充分不必要条件. B.必要不充分条件.

C.充要条件. D.既不充分也不必要条件.

查看答案和解析>>

同步练习册答案