精英家教网 > 高中数学 > 题目详情
在棱长为a的正方体ABCD-A1B1C1D1中,E是线段A1C1的中点,AC∩BD=F,

(1)求证:CE⊥BD;
(2)求证:CE∥平面A1BD; 
(3)求三棱锥D-A1BC的表面积。
(1)证明:根据正方体的性质,BD⊥AC,
因为AA1⊥平面ABCD,BD平面ABCD,
所以,

所以,BD⊥平面,CE平面
所以,CE⊥BD。
(2)证明:连结
因为
所以,为平行四边形,
因此,
由于E是线段的中点,所以
因为,CE平面
所以,CE∥平面
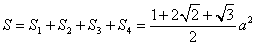
(3)解:是边长为的正三角形,
其面积为
因为BC⊥平面,所以
所以,是直角三角形,其面积为
同理,的面积为
的面积为
所以,三棱锥的表面积为
练习册系列答案
相关习题

科目:高中数学 来源: 题型:

精英家教网
在棱长为a的正方体ABCD-A1B1C1D1中,M,N分别为A1B和CC1的中点.求:

(Ⅰ)直线MN和BC所成角的正切值;
(Ⅱ)直线A1B和平面ABCD所成角的大小;
(Ⅲ)点N到直线AB的距离.

查看答案和解析>>

科目:高中数学 来源: 题型:

19、在棱长为a的正方体ABCD-A1B1C1D1中,E,F,G,M,N,Q分别是棱A1A,A1B1,A1D1,CB,CC1,CD的中点,求证:平面EFG∥平面MNQ.

查看答案和解析>>

科目:高中数学 来源: 题型:

在棱长为a的正方体ABCD-A1B1C1D1中,向量
BA1
与向量
AC
所成的角为
120°
120°

查看答案和解析>>

科目:高中数学 来源:成功之路·突破重点线·数学(学生用书) 题型:013

在棱长为a的正方体骨架内放置一气球,使其充气且尽可能地膨胀(仍保持球形),则气球表面积的最大值为

[  ]

A.2πa2
B.3πa2
C.4πa2
D.4πa2

查看答案和解析>>

科目:高中数学 来源: 题型:013

如图, 在棱长为a的正方体A'B'C'D'-ABCD中过底面对角线AC作一个与底

[  ]

   

查看答案和解析>>

同步练习册答案