精英家教网 > 高中数学 > 题目详情

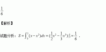
曲线与直线所围成的封闭图形的面积为

练习册系列答案
相关习题

科目:高中数学 来源:2016届四川省巴中市普通高中高三10月零诊考试理科数学试卷(解析版) 题型:选择题

设函数,在[-2,2]上的最大值为2,则实数a的取值范围是( )

查看答案和解析>>

科目:高中数学 来源:2015-2016学年湖北荆州中学高一上学期期中文科数学试卷(解析版) 题型:填空题

函数满足对任意都有成立,则的取值范围是

查看答案和解析>>

科目:高中数学 来源:2015-2016学年湖北荆州中学高二上学期期中理科数学试卷(解析版) 题型:选择题

若圆与圆关于直线对称,则圆的方程为( )

A. B.

C. D.

查看答案和解析>>

科目:高中数学 来源:2016届广东省惠州市高三上学期第二次调研考试文科数学试卷(解析版) 题型:选择题

直线被圆截得的弦长为( )

(A)1 (B)2 (C)4 (D)

查看答案和解析>>

科目:高中数学 来源:2014-2015学年海南省高三下学期大测三文科数学试卷(解析版) 题型:解答题

(本小题满分12分)如图,四边形ABCD是梯形,四边形CDEF是矩形,且平面ABCD⊥平面CDEF,∠BAD=∠CDA,AB=AD=DE=,M是线段AE上的动点.

(Ⅰ)试确定点M的位置,使AC//平面MDF,并说明理由;

(Ⅱ)在(Ⅰ)的条件下,求平面MDF将几何体ADE—BCF分成的两部分的体积之比.

查看答案和解析>>

科目:高中数学 来源:2014-2015学年海南省高三下学期大测三理科数学试卷(解析版) 题型:填空题

已知在中,,则的面积为

查看答案和解析>>

科目:高中数学 来源:2015-2016学年江苏省高二上学期第一次学情调研数学试卷(解析版) 题型:填空题

若关于x的不等式ax2﹣6x+a2<0的解集是(1,m),则m=   

查看答案和解析>>

科目:高中数学 来源:2014-2015学年河南省高二4月月考文科数学试卷(解析版) 题型:选择题

若过点(0,—1)作抛物线的两条切线互相垂直,则a为 ( )

A.1 B.2 C. D.

查看答案和解析>>

同步练习册答案