精英家教网 > 高中数学 > 题目详情

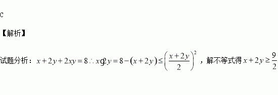
已知,则的最小值是 ( )

A.3 B.4 C. D.

练习册系列答案
相关习题

科目:高中数学 来源:2015-2016学年山东省高二上学情调查理科数学卷(解析版) 题型:解答题

中,内角A,B,C所对的边分别为a,b,c,已知

(1)求证:a,b,c成等比数列;

(2)若,求的面积S.

查看答案和解析>>

科目:高中数学 来源:2015-2016学年河北省邯郸市等校高二上学期期中文科数学试卷(解析版) 题型:选择题

,那么“”是“"的( )

A.充分不必要条件 B.必要不充分条件

C.充要条件 D.既不充分也不必要条件

查看答案和解析>>

科目:高中数学 来源:2015-2016学年山东省高二上学期期中考试文科数学试卷(解析版) 题型:选择题

若数列 的通项公式是,则( )

A.15 B.12 C.-21 D.-15

查看答案和解析>>

科目:高中数学 来源:2015-2016学年山东省高二上学期期中考试理科数学试卷(解析版) 题型:填空题

在直角坐标系中,△ 的三个顶点坐标分别为,动点 是△内的点(包括边界).若目标函数 的最大值为2,且此时的最优解所确定的点 是线段 上的所有点,则目标函数 的最小值为

查看答案和解析>>

科目:高中数学 来源:2015-2016学年湖北省等高二上学期期中联考文科数学试卷(解析版) 题型:选择题

直线与圆交于两点,则是原点)的面积为( )

A. B. C. D.

查看答案和解析>>

科目:高中数学 来源:2015-2016学年浙江省温州市高二上学期期中考试数学试卷(解析版) 题型:解答题

某高速公路收费站入口处的安全标识墩如图甲所示,墩的上半部分是正四棱锥,下半部分是长方体.图乙、图丙分别是该标识墩的正视图和俯视图.

(1)画出该安全标识墩的侧视图,并标出相应的刻度;

(2)求该安全标识墩的体积.

查看答案和解析>>

科目:高中数学 来源:2015-2016学年四川省德阳市高二上学期期中考试数学试卷(解析版) 题型:填空题

某班有男生25名,女生15名,采用分层抽样的方法从这40名学生中抽取一个容量为8的样本,则应抽取的女生人数为 名.

查看答案和解析>>

科目:高中数学 来源:2015-2016学年湖南株洲二中高二上第三次月考理数学卷(解析版) 题型:解答题

已知函数在(1,+∞)上是增函数,且a>0.

(1)求a的取值范围;

(2)求函数在[0,+∞)上的最大值;

查看答案和解析>>

同步练习册答案