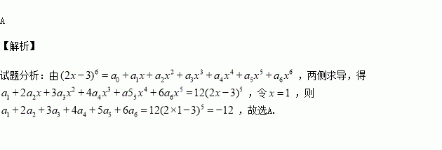
精英家教网 > 高中数学 > 题目详情

对任意的实数,有,则等于( )

A. B. C.6 D.12

练习册系列答案
相关习题

科目:高中数学 来源:2016届四川省高三下三诊考试理科数学试卷(解析版) 题型:填空题

展开式各项系数之和为,则展开式的常数项为

查看答案和解析>>

科目:高中数学 来源:2016届河南省商丘市高三第三次模拟文科数学试卷(解析版) 题型:解答题

如图,在四棱锥中,底面是菱形,底面的中点,的中点.

(Ⅰ)求证:平面

(Ⅱ)求三棱锥的体积.

查看答案和解析>>

科目:高中数学 来源:2016届河南省商丘市高三第三次模拟文科数学试卷(解析版) 题型:选择题

若复数(其中是虚数单位)的实部与虚部相等,则( )

A. B. C. D.

查看答案和解析>>

科目:高中数学 来源:2015-2016学年河北石家庄辛集中学高二下期中理数学卷(解析版) 题型:填空题

抛掷一枚质地均匀的骰子n次,构造数列,使得.记,则的概率为.(用数字作答)

查看答案和解析>>

科目:高中数学 来源:2015-2016学年河北石家庄辛集中学高二下期中理数学卷(解析版) 题型:选择题

用数学归纳法证明,从,左边需要增乘的代数式为( )

A. B. C. D.

查看答案和解析>>

科目:高中数学 来源:2015-2016学年河北石家庄辛集中学高二下期中理数学卷(解析版) 题型:选择题

曲线的极坐标方程化为直角坐标方程为( )

A. B.

C. D.

查看答案和解析>>

科目:高中数学 来源:2015-2016学年山东省高二下期中文科数学试卷(解析版) 题型:选择题

若复数满足,则的取值范围是( )

A. B. C. D.

查看答案和解析>>

科目:高中数学 来源:2016届海南师大附中高三第九次月考理科数学试卷(解析版) 题型:选择题

已知点在同一个球面上,,若四面体体积的最大值为,则这个球的表面积是( )

A. B. C. D.

查看答案和解析>>

同步练习册答案