精英家教网 > 高中数学 > 题目详情
已知函数f(x)=log3(ax+b)的图象经过点A(2,1)和B(5,2),记an=3f(n),n∈N*   
(1)求数列{an}的通项公式
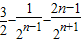
(2)设bn=,求数列{bn}的前n项和Tn  
(3)在(2)的条件下,判断数列{Tn }的单调性,并给出证明.
【答案】分析:(1)先由函数f(x)=log3(ax+b)的图象经过点A(2,1)和B(5,2),求出a,b,进而求得函数f(x)的解析式,即可求出数列{an}的通项公式;
(2)用错位相减法求出Tn的表达式即可求出对应的m的最小值;
(3)根据(2)中数列{Tn }的通项公式,我们不妨构造函数f(n)=,n∈n*,并判断出函数的单调性,再根据数列{Tn }的单调性与函数f(n)的单调性相反,易得到数列{Tn }的单调性.
解答:解:(1)由题意得 ,解得 ,(2分)
∴f(x)=log3(2x-1)
(4分)
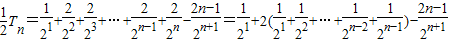
(2)由(1)得 ,∴①…5分
②…7分
①-②得 =
,(10分)
(3)数列{Tn }为递增数列
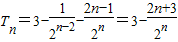
∵Tn=3-,令f(n)=,n∈n*
∴f(n+1)-f(n)=-=<0…13分
故函数f(n)=,n∈n*为减函数,
则数列{Tn }为递增数列…14分
点评:本题考查的知识点是数列与函数的综合应用,数列的求和,其中第二问考查了数列求和的错位相减法.错位相减法适用于通项为一等差数列乘一等比数列组成的新数列.
练习册系列答案
相关习题

科目:高中数学 来源: 题型:

已知函数f(x)=2x-2+ae-x(a∈R)
(1)若曲线y=f(x)在点(1,f(1))处的切线平行于x轴,求a的值;
(2)当a=1时,若直线l:y=kx-2与曲线y=f(x)在(-∞,0)上有公共点,求k的取值范围.

查看答案和解析>>

科目:高中数学 来源: 题型:

已知函数f(x)=x2+2|lnx-1|.
(1)求函数y=f(x)的最小值;
(2)证明:对任意x∈[1,+∞),lnx≥
2(x-1)
x+1
恒成立;
(3)对于函数f(x)图象上的不同两点A(x1,y1),B(x2,y2)(x1<x2),如果在函数f(x)图象上存在点M(x0,y0)(其中x0∈(x1,x2))使得点M处的切线l∥AB,则称直线AB存在“伴侣切线”.特别地,当x0=
x1+x2
2
时,又称直线AB存在“中值伴侣切线”.试问:当x≥e时,对于函数f(x)图象上不同两点A、B,直线AB是否存在“中值伴侣切线”?证明你的结论.

查看答案和解析>>

科目:高中数学 来源: 题型:

已知函数f(x)=x2-bx的图象在点A(1,f(1))处的切线l与直线x+3y-1=0垂直,若数列{
1
f(n)
}的前n项和为Sn,则S2012的值为(  )

查看答案和解析>>

科目:高中数学 来源: 题型:

已知函数f(x)=xlnx
(Ⅰ)求函数f(x)的极值点;
(Ⅱ)若直线l过点(0,-1),并且与曲线y=f(x)相切,求直线l的方程.

查看答案和解析>>

科目:高中数学 来源: 题型:

已知函数f(x)=
3
x
a
+
3
(a-1)
x
,a≠0且a≠1.
(1)试就实数a的不同取值,写出该函数的单调增区间;
(2)已知当x>0时,函数在(0,
6
)上单调递减,在(
6
,+∞)上单调递增,求a的值并写出函数的解析式;
(3)记(2)中的函数图象为曲线C,试问是否存在经过原点的直线l,使得l为曲线C的对称轴?若存在,求出直线l的方程;若不存在,请说明理由.

查看答案和解析>>

同步练习册答案