精英家教网 > 高中数学 > 题目详情

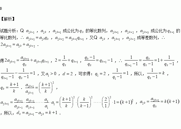
已知数列的各项都是正数,,对任意的成等比数列,公比为成等差数列,公差为,且,则数列的通项公式为( )

A. B. C. D.

练习册系列答案
相关习题

科目:高中数学 来源:2015-2016学年江苏省高一4月阶段检测数学试卷(解析版) 题型:填空题

不等式的解集为

查看答案和解析>>

科目:高中数学 来源:2016届江苏省高三考前一周模拟二数学试卷(解析版) 题型:解答题

如图,已知椭圆的左、右焦点为为椭圆上一点,为椭圆上顶点,上,.

(1)求当离心率时的椭圆方程;

(2)求满足题设要求的椭圆离心率的取值范围;

(3)当椭圆离心率最小时,若过的直线与椭圆交于(不同于点)两点,试问:是否为定值?并给出证明.

查看答案和解析>>

科目:高中数学 来源:2016届江苏省高三考前一周模拟二数学试卷(解析版) 题型:填空题

已知集合,则

查看答案和解析>>

科目:高中数学 来源:2015-2016学年四川省高一下期中数学试卷(解析版) 题型:填空题

已知等比数列的首项为,公比为,其前项和为,若恒成立,则的最小值为

查看答案和解析>>

科目:高中数学 来源:2015-2016学年四川省高一下期中数学试卷(解析版) 题型:选择题

中,若,则( )

A.

B.

C.是直角三角形

D.

查看答案和解析>>

科目:高中数学 来源:2015-2016学年陕西西藏民族学院附中高一4月月考数学卷(解析版) 题型:解答题

某港口要将一件重要物品用小艇送到一艘正在航行的轮船上.在小艇出发时,轮船位于港口北偏西且与该港口相距20海里的处,并以30海里/时的航行速度沿正东方向匀速行驶,假设该小船沿直线方向以海里/时的航行速度匀速行驶,经过小时与轮船相遇.

(1)若希望相遇时小艇的航行距离最小,则小艇航行速度的大小应为多少?

(2)假设小艇的最高航行速度只能达到30海里/时,试设计航行方案(即确定航行方向与航行速度的大小),使得小艇能以最短时间与轮船相遇,并说明理由.

查看答案和解析>>

科目:高中数学 来源:2015-2016学年陕西西藏民族学院附中高一4月月考数学卷(解析版) 题型:选择题

已知,若,则的值为( )

A.2 B. C.3 D.

查看答案和解析>>

科目:高中数学 来源:2015-2016学年江西玉山一中高一下第一次月考理科数学卷(解析版) 题型:选择题

已知半径为的圆M与圆外切于点则M的坐标为( )

A.(-3,6) B.(-6,3) C.(3,-6) D.(,5)

查看答案和解析>>

同步练习册答案