精英家教网 > 高中数学 > 题目详情

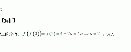
已知函数,若,则实数等于( )

A. B. C.2 D.9

练习册系列答案
相关习题

科目:高中数学 来源:2016届宁夏高三五模考试数学(理)试卷(解析版) 题型:选择题

已知,其中是虚数单位,则实数( )

A.1 B.2 C.-1 D.-2

查看答案和解析>>

科目:高中数学 来源:2016届湖南长沙市高三月考八数学(理)试卷(解析版) 题型:选择题

的展开式的各项系数和为,则的系数为( )

A. B. C. D.

查看答案和解析>>

科目:高中数学 来源:2017届湖北黄石市高三9月调研数学(文)试卷(解析版) 题型:填空题

已知是定义在上的偶函数,且在区间 上单调递增,若实数满足,则的取值范围是___________.

查看答案和解析>>

科目:高中数学 来源:2017届湖北黄石市高三9月调研数学(文)试卷(解析版) 题型:选择题

相距两个哨所,听到炮弹爆炸的时间相差,已知声速,则炮弹爆炸点所在曲线的离心率为( )

A. B. C. D.1

查看答案和解析>>

科目:高中数学 来源:2017届山东枣庄三中高三9月质检数学(文)试卷(解析版) 题型:解答题

某化工厂近期要生产一批化工试剂,经市场调査得知,生产这批试剂厂家的生产成本有以下三个部分:①生产单位试剂需要原料费元; ②支付所有职工的工资总额由元的基本工资和每生产单位试剂补貼所有职工元组成; ③后续保养的平均费用是每单位元(试剂的总产量为单位,).

(1)把生产每单位试剂的成本表示为的函数关系,并求出的最小值;

(2)如果产品全部卖出,据测算销售額(元)关于产量(单位)的函数关系为,试问:当产量为多少时生产这批试剂的利润最高?

查看答案和解析>>

科目:高中数学 来源:2017届山东枣庄三中高三9月质检数学(文)试卷(解析版) 题型:填空题

已知偶函数单调递减,, 若,则的取值范围是

查看答案和解析>>

科目:高中数学 来源:2017届山东枣庄三中高三9月质检数学(理)试卷(解析版) 题型:解答题

设命题函数上是增函数,命题,如果是假命题,是真命题, 求的取值范围.

查看答案和解析>>

科目:高中数学 来源:2017届内蒙古高三上入学摸底数学理试卷(解析版) 题型:解答题

以椭圆的中心为圆心,为半径的圆称为该椭圆的“准圆”.设椭圆的左顶点为,左焦点为,上顶点为,且满足.

(1)求椭圆及其“准圆”的方程;

(2)若椭圆的“准圆”的一条弦(不与坐标轴垂直)与椭圆交于两点,试证明:当时,试问弦的长是否为定值,若是,求出该定值;若不是,请说明理由.

查看答案和解析>>

同步练习册答案