精英家教网 > 高中数学 > 题目详情

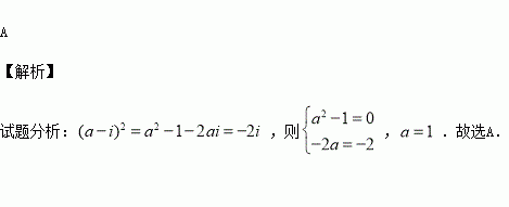
已知,其中是虚数单位,则实数( )

A.1 B.2 C.-1 D.-2

练习册系列答案
相关习题

科目:高中数学 来源:2016届云南昆明一中高三仿真模拟七数学(理)试卷(解析版) 题型:解答题

已知函数.

(1)求不等式的解集;

(2)若不等式有解,求实数的取值范围.

查看答案和解析>>

科目:高中数学 来源:2016届宁夏高三五模考试数学(文)试卷(解析版) 题型:选择题

的切线方程中有一个是( )

A. B. C. D.

查看答案和解析>>

科目:高中数学 来源:2016届宁夏高三五模考试数学(理)试卷(解析版) 题型:填空题

已知两圆的方程分别为,则这两圆公共弦的长等于__________.

查看答案和解析>>

科目:高中数学 来源:2016届宁夏高三五模考试数学(理)试卷(解析版) 题型:选择题

执行如图的程序框图,若输出的值为12,则①、②处可填入的条件分别为( )

A. B.

C. D.

查看答案和解析>>

科目:高中数学 来源:2016届湖南长沙市高三月考八数学(文)试卷(解析版) 题型:解答题

已知函数.

(1)当时,求函数的单调区间和极值;

(2)若恒成立;求实数的值.

查看答案和解析>>

科目:高中数学 来源:2016届湖南长沙市高三月考八数学(文)试卷(解析版) 题型:填空题

等比数列的前项和为,已知成等差数列,则等比数列的公比

查看答案和解析>>

科目:高中数学 来源:2016届湖南长沙市高三月考八数学(理)试卷(解析版) 题型:解答题

已知函数为常数).

(1)讨论函数的单调区间;

(2)当时,设的两个极值点恰为的零点, 求的最小值.

查看答案和解析>>

科目:高中数学 来源:2017届湖北黄石市高三9月调研数学(文)试卷(解析版) 题型:选择题

已知函数,若,则实数等于( )

A. B. C.2 D.9

查看答案和解析>>

同步练习册答案