精英家教网 > 高中数学 > 题目详情

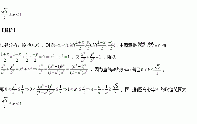
已知椭圆的右焦点为,设A,B为椭圆上关于原点对称的两点,AF的中点为M,BF的中点为N,原点O在以线段MN为直径的圆上.若直线AB的斜率k满足,则椭圆离心率的取值范围为

练习册系列答案
相关习题

科目:高中数学 来源:2015-2016学年江苏省沭阳县高二上学期期中考试数学试卷(解析版) 题型:解答题

抽取某种型号的车床生产的10个零件,编号为,…,,测量其直径(单位:cm),得到下面数据:

编号

直径

1.51

1.49

1.49

1.51

1.49

1.48

1.47

1.53

1.52

1.47

其中直径在区间[1.49,1.51]内的零件为一等品.

(1)从上述10个零件中,随机抽取一个,求这个零件为一等品的概率;

(2)从一等品零件中,随机抽取2个.

①用零件的编号列出所有可能的抽取结果;

②求这2个零件直径相等的概率;

(3)若甲、乙分别从一等品中各取一个,求甲取到零件的直径大于乙取到零件的直径的概率.

查看答案和解析>>

科目:高中数学 来源:2016上海复旦大学附中届高三上期中理科数学试卷(解析版) 题型:填空题

满足等式的复数

查看答案和解析>>

科目:高中数学 来源:2015-2016学年吉林省高二11月月考文科数学卷(解析版) 题型:选择题

的否命题是命题的逆否命题,则命题是命题的 ( )

A.逆命题 B.否命题 C.逆否命题 D.是同一命题

查看答案和解析>>

科目:高中数学 来源:2015-2016学年湖北武汉华中师大一附高一上期中数学试卷(解析版) 题型:填空题

设函数,那么函数的零点的个数为

查看答案和解析>>

科目:高中数学 来源:2016届宁夏六盘山高中高三上学期第二次月考文科数学试卷(解析版) 题型:解答题

设函数

(1)求的最大值,并写出使取最大值时的集合;

(2)已知中,角的对边分别为,若,求的最小值.

查看答案和解析>>

科目:高中数学 来源:2016届宁夏六盘山高中高三上学期第二次月考理科数学试卷(解析版) 题型:填空题

,则实数=__________.

查看答案和解析>>

科目:高中数学 来源:2016届湖南省株洲市高三上学期期中理科数学试卷(解析版) 题型:选择题

是双曲线的右焦点,过点的一条渐近线引垂线,垂足为,交另一条渐近线于点.若,则双曲线的离心率是( )

A、 B、2 C、 D、

查看答案和解析>>

科目:高中数学 来源:2015-2016学年湖南衡阳八中高二上第二次月考理科数学卷(解析版) 题型:解答题

已知函数

(1)求的单调递减区间;

(2)若在区间上的最大值为20,求它在该区间上的最小值.

查看答案和解析>>

同步练习册答案