精英家教网 > 高中数学 > 题目详情

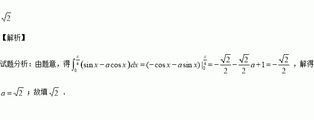
,则实数=__________.

练习册系列答案
相关习题

科目:高中数学 来源:2015-2016学年广西钦州港经济技术开发区中学高一上期中数学试卷(解析版) 题型:选择题

已知函数y=f(x+1)定义域是[﹣2,3],则y=f(2x﹣1)的定义域( )

A.[﹣3,7] B.[﹣1,4] C.[﹣5,5] D.

查看答案和解析>>

科目:高中数学 来源:2015-2016学年吉林省高二11月月考文科数学卷(解析版) 题型:解答题

(本小题满分12分)

已知椭圆的离心率为,其中左焦点

(Ⅰ)求椭圆的方程;

(Ⅱ)若直线与椭圆交于不同的两点,且线段的中点在圆

上,求的值.

查看答案和解析>>

科目:高中数学 来源:2015-2016学年湖北武汉华中师大一附高二上期中理数学卷(解析版) 题型:填空题

已知椭圆的右焦点为,设A,B为椭圆上关于原点对称的两点,AF的中点为M,BF的中点为N,原点O在以线段MN为直径的圆上.若直线AB的斜率k满足,则椭圆离心率的取值范围为

查看答案和解析>>

科目:高中数学 来源:2016届宁夏六盘山高中高三上学期第二次月考文科数学试卷(解析版) 题型:填空题

已知,且,则=__________.

查看答案和解析>>

科目:高中数学 来源:2016届江苏省高三上学期周练数学试卷(解析版) 题型:解答题

已知函数).

(1)若,求函数的单调增函数;

(2)若时,函数的最大值为,最小值为,求的值.

查看答案和解析>>

科目:高中数学 来源:2016届湖南省株洲市高三上学期期中文科数学试卷(解析版) 题型:选择题

,则

(A) (B) (C) (D)

查看答案和解析>>

科目:高中数学 来源:2016届湖北武汉华中师大一附等高三上第一次联考理数学卷(解析版) 题型:选择题

若一个四棱锥底面为正方形,顶点在底面的射影为正方形的中心,且该四棱锥的体积为9,当其外接球表面积最小时,它的高为( )

A.3 B. C. D.

查看答案和解析>>

科目:高中数学 来源:2014-2015学年广东省心学校高一上学期期末数学试卷(解析版) 题型:填空题

,则取值范围是

查看答案和解析>>

同步练习册答案