精英家教网 > 高中数学 > 题目详情

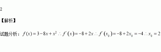
已知函数,且,则

练习册系列答案
相关习题

科目:高中数学 来源:2015-2016学年内蒙古高二下第一次月考文科数学卷(解析版) 题型:解答题

有甲、乙两个班,进行数学考试,按学生考试及格与不及格统计成绩后,得到如下的列联表.能否在犯错误的概率不超过0.01的前提下认为成绩及格与班级有关系?

依据表

P(K2≥k)

0.50

0.40

0.25

0.15

0.10

0.05

0.025

0.010

0.005

0.001

k

0.455

0.708

1.323

2.072

2.706

3.841

5.024

6.635

7.879

10.828

查看答案和解析>>

科目:高中数学 来源:2015-2016学年江西省高二3月月考文科数学试卷(解析版) 题型:解答题

设函数

(1)当时,讨论函数的单调性;

(2)若函数仅在处有极值,求的取值范围

查看答案和解析>>

科目:高中数学 来源:2015-2016学年江西省高二3月月考文科数学试卷(解析版) 题型:选择题

函数的单调减区间是( )

(A) (B) (C) (D)

查看答案和解析>>

科目:高中数学 来源:2015-2016学年四川省雅安市高二下期中文科数学试卷(解析版) 题型:解答题

如图,在四棱柱P-ABCD中,底面ABCD是矩形,E是棱PA的中点,PD⊥BC.

求证:(Ⅰ)PC∥平面BED;

(Ⅱ)△PBC是直角三角形.

查看答案和解析>>

科目:高中数学 来源:2015-2016学年四川省雅安市高二下期中文科数学试卷(解析版) 题型:选择题

设函数,则( )

(A)的极大值点 (B)的极小值点

(C)的极大值点 (D)的极小值点

查看答案和解析>>

科目:高中数学 来源:2015-2016学年四川省雅安市高二下期中文科数学试卷(解析版) 题型:选择题

函数的导数是( )

(A) (B) (C) (D)

查看答案和解析>>

科目:高中数学 来源:2015-2016学年安徽省高二下学期第一次检测文科数学试卷(解析版) 题型:选择题

若函数不是单调函数,则实数的取值范围是( ).

A. B. C. D.

查看答案和解析>>

科目:高中数学 来源:2015-2016学年广东省东莞市南开实验高二下期初考试文科数学试卷(解析版) 题型:选择题

数列﹛an﹜的前n项和Sn=n2an(n≥2).而a1=1,通过计算a2,a3,a4,猜想an=( )

A. B. C. D.

查看答案和解析>>

同步练习册答案