精英家教网 > 高中数学 > 题目详情

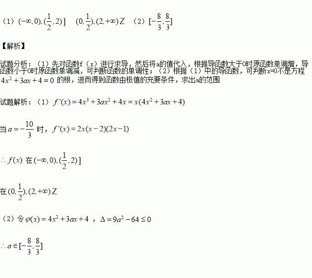
设函数

(1)当时,讨论函数的单调性;

(2)若函数仅在处有极值,求的取值范围

练习册系列答案
相关习题

科目:高中数学 来源:2015-2016学年山西大学附中高一下学期3月模块诊断数学试卷(解析版) 题型:选择题

已知角的终边过点,则的值为( )

A. B. C. D.

查看答案和解析>>

科目:高中数学 来源:2015-2016学年内蒙古高二下第一次月考文科数学卷(解析版) 题型:选择题

复数z满足,则复数z的共轭复数为( )

A.-1-3i B. -1+3i C. 1+3i D. 1-3i

查看答案和解析>>

科目:高中数学 来源:2015-2016学年内蒙古高二下第一次月考理科数学卷(解析版) 题型:选择题

对于三次函数,给出定义:设是函数的导数,的导数,若方程有实数解,则称点为函数的“拐点”.某同学经过探究发现:任何一个三次函数都有对称中心,且“拐点”就是对称中心.若,请你根据这一发现,则函数的对称中心为( )

A. B. C. D.

查看答案和解析>>

科目:高中数学 来源:2015-2016学年内蒙古高二下第一次月考理科数学卷(解析版) 题型:选择题

已知二次函数的图像如图所示 ,则它与轴所围图形的面积为( )

A. B. C. D.

查看答案和解析>>

科目:高中数学 来源:2015-2016学年江西省高二3月月考文科数学试卷(解析版) 题型:填空题

已知函数的导函数为,且满足,则

查看答案和解析>>

科目:高中数学 来源:2015-2016学年江西省高二3月月考文科数学试卷(解析版) 题型:选择题

将长方体截去一个四棱锥,得到的几何体如图所示,则该几何体的侧视图为( )

查看答案和解析>>

科目:高中数学 来源:2015-2016学年四川省雅安市高二下期中文科数学试卷(解析版) 题型:填空题

已知函数,且,则

查看答案和解析>>

科目:高中数学 来源:2015-2016学年安徽省高二下学期第一次检测理科数学试卷(解析版) 题型:填空题

已知,则

查看答案和解析>>

同步练习册答案