精英家教网 > 高中数学 > 题目详情

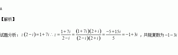
复数z满足,则复数z的共轭复数为( )

A.-1-3i B. -1+3i C. 1+3i D. 1-3i

练习册系列答案
相关习题

科目:高中数学 来源:2015-2016学年山西省高二3月月考理科数学试卷(解析版) 题型:选择题

若点P是曲线y=x2-ln x上任意一点,则点P到直线y=x-2的最小值为( )

A.1 B. C. D.

查看答案和解析>>

科目:高中数学 来源:2015-2016学年四川省雅安市高二下期中理科数学试卷(解析版) 题型:填空题

计算=

查看答案和解析>>

科目:高中数学 来源:2015-2016学年内蒙古高二下第一次月考文科数学卷(解析版) 题型:解答题

有甲、乙两个班,进行数学考试,按学生考试及格与不及格统计成绩后,得到如下的列联表.能否在犯错误的概率不超过0.01的前提下认为成绩及格与班级有关系?

依据表

P(K2≥k)

0.50

0.40

0.25

0.15

0.10

0.05

0.025

0.010

0.005

0.001

k

0.455

0.708

1.323

2.072

2.706

3.841

5.024

6.635

7.879

10.828

查看答案和解析>>

科目:高中数学 来源:2015-2016学年内蒙古高二下第一次月考文科数学卷(解析版) 题型:选择题

若函数在区间单调递增,则的取值范围是( )

A. B. C. D.

查看答案和解析>>

科目:高中数学 来源:2015-2016学年内蒙古高二下第一次月考理科数学卷(解析版) 题型:解答题

已知函数.

(Ⅰ)若,试判断在定义域内的单调性;

(Ⅱ)若上的最小值为,求的值;

(Ⅲ)若上恒成立,求的取值范围.

查看答案和解析>>

科目:高中数学 来源:2015-2016学年内蒙古高二下第一次月考理科数学卷(解析版) 题型:填空题

已知,观察以上等式,若均为正实数),则

查看答案和解析>>

科目:高中数学 来源:2015-2016学年江西省高二3月月考文科数学试卷(解析版) 题型:解答题

设函数

(1)当时,讨论函数的单调性;

(2)若函数仅在处有极值,求的取值范围

查看答案和解析>>

科目:高中数学 来源:2015-2016学年四川省雅安市高二下期中文科数学试卷(解析版) 题型:选择题

函数的导数是( )

(A) (B) (C) (D)

查看答案和解析>>

同步练习册答案