精英家教网 > 高中数学 > 题目详情

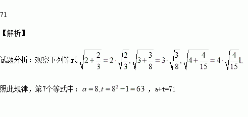
已知,观察以上等式,若均为正实数),则

练习册系列答案
相关习题

科目:高中数学 来源:2015-2016学年山西大学附中高一下学期3月模块诊断数学试卷(解析版) 题型:解答题

已知函数的部分图象如图所示,将函数的图象保持纵坐标不变,横坐标向右平移个单位后得到函数的图象.

(1)求函数上的值域;

(2)求使的取值范围的集合.

查看答案和解析>>

科目:高中数学 来源:2015-2016学年四川省雅安市高二下期中理科数学试卷(解析版) 题型:选择题

函数的导数是( )

(A) (B) (C) (D)

查看答案和解析>>

科目:高中数学 来源:2015-2016学年内蒙古高二下第一次月考文科数学卷(解析版) 题型:选择题

复数z满足,则复数z的共轭复数为( )

A.-1-3i B. -1+3i C. 1+3i D. 1-3i

查看答案和解析>>

科目:高中数学 来源:2015-2016学年内蒙古高二下第一次月考理科数学卷(解析版) 题型:解答题

用数学归纳法证明:

查看答案和解析>>

科目:高中数学 来源:2015-2016学年内蒙古高二下第一次月考理科数学卷(解析版) 题型:选择题

对于三次函数,给出定义:设是函数的导数,的导数,若方程有实数解,则称点为函数的“拐点”.某同学经过探究发现:任何一个三次函数都有对称中心,且“拐点”就是对称中心.若,请你根据这一发现,则函数的对称中心为( )

A. B. C. D.

查看答案和解析>>

科目:高中数学 来源:2015-2016学年内蒙古高二下第一次月考理科数学卷(解析版) 题型:选择题

已知二次函数的图像如图所示 ,则它与轴所围图形的面积为( )

A. B. C. D.

查看答案和解析>>

科目:高中数学 来源:2015-2016学年江西省高二3月月考文科数学试卷(解析版) 题型:选择题

将长方体截去一个四棱锥,得到的几何体如图所示,则该几何体的侧视图为( )

查看答案和解析>>

科目:高中数学 来源:2015-2016学年安徽省高二下学期第一次检测文科数学试卷(解析版) 题型:选择题

已知双曲线的右焦点为,过作斜率为的直线交双曲线的渐近线于点,点在第一象限,为坐标原点,若的面积为,则该双曲线的离心率为( )

A. B. C. D.

查看答案和解析>>

同步练习册答案