精英家教网 > 高中数学 > 题目详情

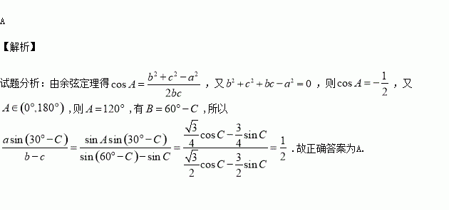
中,内角的对边分别为.若,则( )

A. B. C. D.

练习册系列答案
相关习题

科目:高中数学 来源:2016届海南省高三高考模拟三理科数学试卷(解析版) 题型:选择题

,现随机地抽出一对有序实数对使得函数与函数的图象有交点的概率为( )

A. B. C. D.

查看答案和解析>>

科目:高中数学 来源:2016届黑龙江省高三下四模理科数学试卷(解析版) 题型:解答题

甲、乙两个学校高三年级分别有1100人、1000人,为了解两个学校高三年级全体学生在该地区三模考试的数学成绩情况,采用分层抽样的方法从两个学校一共抽取了105名学生的数学成绩,并作出了如下的频数分布表,规定考试成绩在内为优秀.

甲校:

乙校:

(1)计算的值;

(2)由以上统计数据填写下面列联表,若按是否优秀来判断,是否有97.5%的把握认为两个学校的数学成绩有差异?

(3)若将频率视为概率,从乙校高三学年任取三名学生的三模数学成绩,其中优秀的人数为,求的分布列和期望.

参考数据:

参考公式:

查看答案和解析>>

科目:高中数学 来源:2016届黑龙江省高三下四模理科数学试卷(解析版) 题型:选择题

复数是虚数单位)的虚部是( )

A. B.2 C. D.

查看答案和解析>>

科目:高中数学 来源:2015-2016学年重庆八中高一下期中数学试卷(解析版) 题型:填空题

如图,在中,是边上一点,,,则

查看答案和解析>>

科目:高中数学 来源:2015-2016学年重庆八中高一下期中数学试卷(解析版) 题型:选择题

若钝角三角形的面积为,且,则( )

A. B. C. D.

查看答案和解析>>

科目:高中数学 来源:2016届山东省高三最后一模文科数学试卷(解析版) 题型:解答题

已知椭圆的离心率为,以原点为圆心,以椭圆的短半轴长为半径的圆与直线相切.

(I)求椭圆的方程;

(II)过椭圆的右焦点的直线与椭圆交于,过垂直的直线与椭圆交于,与交于

(1)求证:直线的斜率成等差数列

(2)是否存在常数使得成立,若存在,求出的值,若不存在,说明理由.

查看答案和解析>>

科目:高中数学 来源:2016届山东省高三最后一模文科数学试卷(解析版) 题型:选择题

已知函数,则实数的值等于( )

A.1 B.2 C.3 D.4

查看答案和解析>>

科目:高中数学 来源:2015-2016学年江西玉山一中高一下第三次考试文科数学卷(解析版) 题型:选择题

已知函数,为了得到函数的图象,只需将函数的图象( )

A.向右平移个单位长度 B.向右平移个单位长度

C.向左平移个单位长度 D.向左平移个单位长度

查看答案和解析>>

同步练习册答案