精英家教网 > 高中数学 > 题目详情

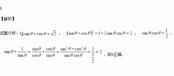
如果角满足,那么的值是( )

A.-1 B.-2 C.1 D.2

练习册系列答案
相关习题

科目:高中数学 来源:2016届重庆市高三12月月考文科数学试卷(解析版) 题型:解答题

如图,四棱锥,底面是边长为2的菱形,为侧棱的三等分点(靠近点),的交点,且

(1)若在棱上存在一点,且,确定点的位置,并说明理由;

(2)求点到平面的距离.

查看答案和解析>>

科目:高中数学 来源:2015-2016学年湖南省高二上期中数学试卷(解析版) 题型:解答题

已知椭圆C:=1(a>b>0)的离心率为,短轴一个端点到右焦点的距离为

(1)求椭圆C的方程;

(2)设直线l与椭圆C交于A、B两点,坐标原点O到直线l的距离为,求△AOB面积的最大值.

查看答案和解析>>

科目:高中数学 来源:2015-2016学年河南省林州市高一上期中数学试卷(解析版) 题型:填空题

已知函数,则的值为_________.

查看答案和解析>>

科目:高中数学 来源:2015-2016学年河北邢台一中高二上第三次月考理科数学卷(解析版) 题型:选择题

已知椭圆,则以点为中点的弦所在直线的方程为( )

A. B.

C. D.

查看答案和解析>>

科目:高中数学 来源:2015-2016学年福建省高一上期中数学试卷(解析版) 题型:选择题

方程sin2x+sin x-1-m=0在实数集上有解,则实数m的范围为( )

A. B. C. D.

查看答案和解析>>

科目:高中数学 来源:2015-2016学年四川省实验学校高一上学期期中考试数学试卷(解析版) 题型:选择题

若集合,且,则的值为( )

A、 B、 C、 D、

查看答案和解析>>

科目:高中数学 来源:2015-2016学年贵州省高二上滾动训练2数学试卷(解析版) 题型:选择题

函数y=xa,y=xb,y=xc的图像如图所示,则实数a、b、c的大小关系为( )

A.c<b<a B.a<b<c C.b<c<a D.c<a<b

查看答案和解析>>

科目:高中数学 来源:2016届云南师范大附中高考适应性月考三理科数学试卷(解析版) 题型:解答题

如图,四边形为菱形,平面中点.

(Ⅰ)求证:平面平面

(Ⅱ)求平面与平面所成二面角(锐角)的余弦值.

查看答案和解析>>

同步练习册答案