精英家教网 > 高中数学 > 题目详情

如图所示,在棱长2的正方体中,分别为的中点.

(Ⅰ)求证://平面

(Ⅱ)求证:

(Ⅲ)求三棱锥  的体积.

 


解:(Ⅰ)连结,在中,分别为的中点,则

……………4分

             

(Ⅱ)      ……………8分

             

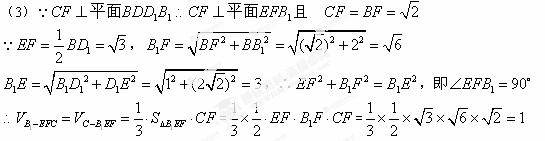
(Ⅲ)

 

练习册系列答案
相关习题

科目:高中数学 来源: 题型:


下面框图所给的程序运行结果为S=35,那么判断框中应填入的关于k的条件是(  )

    A.k=7              B.k6             C.k<6              D.k>6

查看答案和解析>>

科目:高中数学 来源: 题型:


传说古希腊毕达哥拉斯学派的数学家经常在沙滩上面画点或用小石子表示数.他们研究过如图所示的三角形数:

         将三角形数1,3,6,10,…记为数列{an},将可被5整除的三角形数

         按从小到大的顺序组成一个新数列{bn},可以推测:

         (1)是数列中的第         .项;

  (2)若为正偶数,=         .(用n表示)

查看答案和解析>>

科目:高中数学 来源: 题型:


为直线,是两个不同的平面,下列命题中正确的是 (  )

A.若,,则     B.若,,则

C.若,,则     D.若,,则

 

查看答案和解析>>

科目:高中数学 来源: 题型:


 给出下列四个说法:

①已知都是正数,且,则

②若函数的定义域是,则

③已知x∈(0,π),则的最小值为; 

④已知a、b、c成等比数列,a、x、b成等差数列,b、y、c也成等差数列,则的值等于2.其中正确的序号是_________.

 

查看答案和解析>>

科目:高中数学 来源: 题型:


如图所示,一个类似杨辉三角的数阵,则第n(n≥2)行的第2个数为(  )

A.n2+2n+3   B.n2+2n-3

C.n2-2n+3   D.n2-2n-3

查看答案和解析>>

科目:高中数学 来源: 题型:


在 (x2-)n的展开式所有二项式系数的和是32,则展开式中各项系数的和为 _________.

查看答案和解析>>

科目:高中数学 来源: 题型:


设数列的前n项和,则的值为(   )

A  15              B   16         C   49         D 64

 

查看答案和解析>>

科目:高中数学 来源: 题型:


,其中实数满足,若的最大为,则的最小值为

A.        B.          C.            D.

查看答案和解析>>

同步练习册答案