精英家教网 > 高中数学 > 题目详情

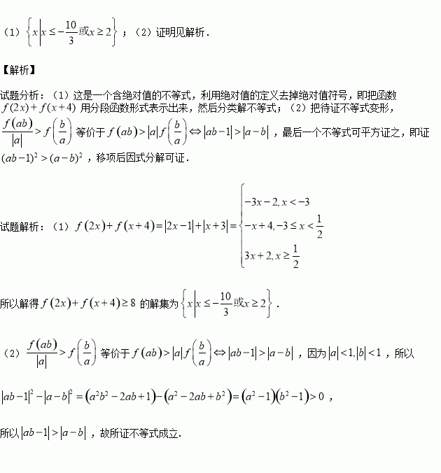
已知函数.

(1)解不等式

(2)若,求证:.

练习册系列答案
相关习题

科目:高中数学 来源:2015-2016学年宁夏石嘴山三中高二下期中文科数学试卷(解析版) 题型:选择题

下列各函数中,表示同一函数的是( )

A. 与y=x+1 B. y=x与(a>0且a≠1)

C.与y=x﹣1 D.y=lgx与

查看答案和解析>>

科目:高中数学 来源:2015-2016学年广东省高一下期中数学试卷(解析版) 题型:选择题

,则下列不等式对一切满足条件的恒成立的是( ).

A. B. C. D. .

查看答案和解析>>

科目:高中数学 来源:2015-2016学年重庆一中高一下学期期中数学试卷(解析版) 题型:选择题

已知函数,关于的不等式的解集记为,若区间,则实数的取值范围是( )

A. B.

C. D.

查看答案和解析>>

科目:高中数学 来源:2015-2016学年重庆一中高一下学期期中数学试卷(解析版) 题型:选择题

中,角,若,则( )

A.-1 B.1 C.-3 D.3

查看答案和解析>>

科目:高中数学 来源:2015-2016学年重庆巴蜀中学高二下期中文科数学试卷(解析版) 题型:解答题

如图,在直三棱柱中,平面,其垂足落在直线上.

(1)求证:

(2)若是线段上一点,,三棱锥的体积为,求的值.

查看答案和解析>>

科目:高中数学 来源:2015-2016学年重庆巴蜀中学高二下期中文科数学试卷(解析版) 题型:选择题

已知是定义在上的减函数,而满足,其中的导数,则( )

A.对任意的 B.对任意的

C.当且仅当 D.当且仅当

查看答案和解析>>

科目:高中数学 来源:2015-2016学年重庆巴蜀中学高二下期中理科数学试卷(解析版) 题型:解答题

已知正项数列的前项和为,且.

(1)求数列的通项公式;

(2)设为数列的前项和,证明:.

查看答案和解析>>

科目:高中数学 来源:2015-2016学年湖北省高一下期中数学试卷(解析版) 题型:解答题

某市人民广场立有一块巨大的电子显示屏,如图,为测量它的上下宽度(即AB的长度).一名学生站在如图C处测得A,B的仰角分别为60°,45°,从C点出发,沿着直线OC再前进20米到达D点,在D点测得A的仰角为30°.不考虑测角仪的高度和人的高度(即C,D视为测角仪所在的位置,E视为人的眼睛所在位置)

(1)求电子显示屏的上下宽度AB;

(2)该生站在E点观看电子显示屏,为保证观看节目的视觉效果最佳,即人的眼睛与A,B连线所成角最大,求O,E两点间的距离.(第二问结果保留一位小数,参考数据:

查看答案和解析>>

同步练习册答案