精英家教网 > 高中数学 > 题目详情

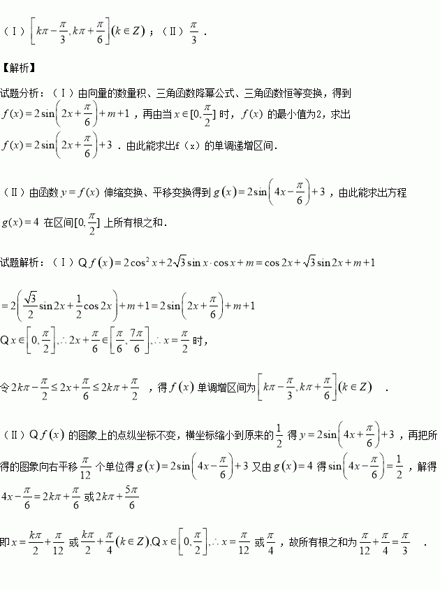
已知向量,函数,且当时,的最小值为2

(Ⅰ)求的单调递增区间;

(Ⅱ)先将函数的图象上的点纵坐标不变,横坐标缩小到原来的,再把所得的图象向右平移个单位,得到函数的图象,求方程在区间上所有根之和.

练习册系列答案
相关习题

科目:高中数学 来源:2016届重庆市高三12月月考理科数学试卷(解析版) 题型:选择题

若实数满足条件,则的最小值为( )

A.-1 B.-2 C. D.

查看答案和解析>>

科目:高中数学 来源:2016届河北省邯郸市高三一轮收官考试一文科数学试卷(解析版) 题型:解答题

已知椭圆)的离心率为,左、右焦点分别为,点在椭圆上,且的面积为

(1)求椭圆的方程;

(2)直线)与椭圆相交于两点,点,记直线的斜率分别为,当最大时,求直线的方程.

查看答案和解析>>

科目:高中数学 来源:2016届甘肃省高三上第四次月考理科数学试卷(解析版) 题型:解答题

如图,直线为圆的切线,切点为,点在圆上,的角平分线交圆于点垂直交圆于点

(1)证明:

(2)设圆的半径为1,,延长于点,求外接圆的半径.

查看答案和解析>>

科目:高中数学 来源:2016届福建省高三上学期期中文科数学试卷(解析版) 题型:解答题

已知函数

(Ⅰ)求函数的最大值及此时的值;

(Ⅱ)在中,分别为内角所对的边,若的最大值,且,求的面积.

查看答案和解析>>

科目:高中数学 来源:2016届福建省高三上第二次月考文科数学试卷(解析版) 题型:解答题

已知是递增的等差数列,是方程的根.

(Ⅰ)求的通项公式;

(Ⅱ)求数列的前项和.

查看答案和解析>>

科目:高中数学 来源:2016届福建省高三上第二次月考理科数学试卷(解析版) 题型:填空题

已知直线过圆的圆心,且与直线垂直,则的方程是____________.

查看答案和解析>>

科目:高中数学 来源:2015-2016学年辽宁省高二上期中文科数学试卷(解析版) 题型:填空题

已知两定点的周长等于16,则顶点的轨迹方程为

查看答案和解析>>

科目:高中数学 来源:2015-2016学年江西省高二上期中文科数学试卷(解析版) 题型:选择题

,则函数单调递增区间为

A. B. C. D.

查看答案和解析>>

同步练习册答案