精英家教网 > 高中数学 > 题目详情

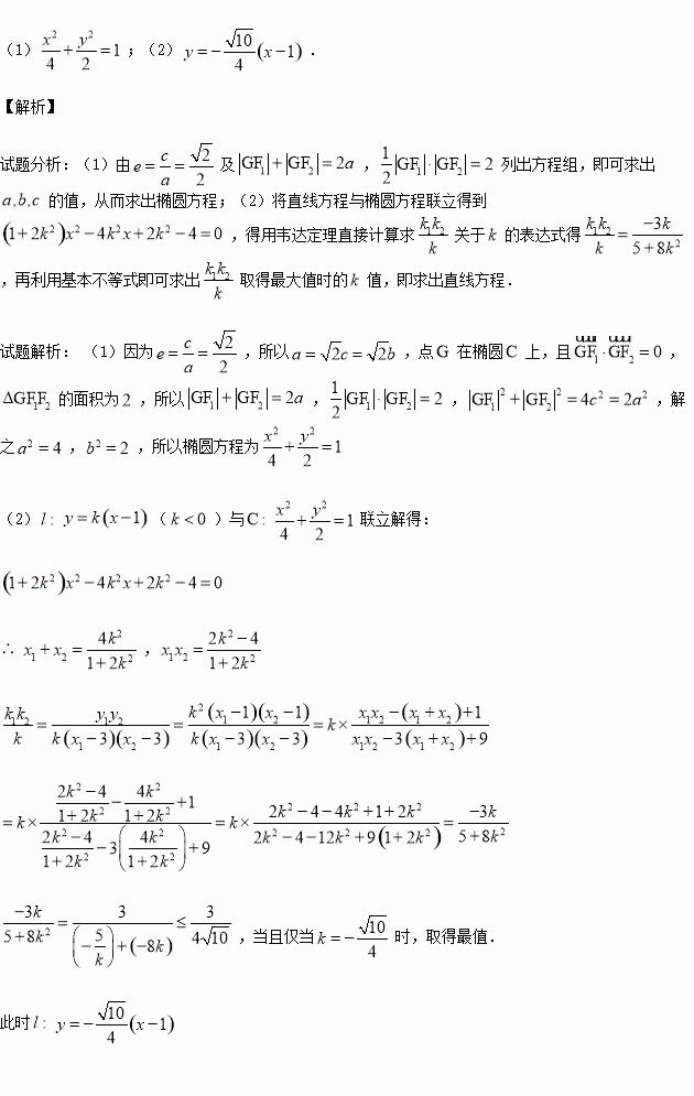
已知椭圆)的离心率为,左、右焦点分别为,点在椭圆上,且的面积为

(1)求椭圆的方程;

(2)直线)与椭圆相交于两点,点,记直线的斜率分别为,当最大时,求直线的方程.

练习册系列答案
相关习题

科目:高中数学 来源:2015-2016学年湖北省等高二上学期期中联考文科数学试卷(解析版) 题型:选择题

某校1000名学生中,O型血有450人,A型血有200人,B型血有200人,AB型血有150人,为了研究血型与血弱的关系,从中抽取容量为40的样本,按照分层抽样的方法抽取样本,则O型血,A型血,B型血,AB型血的人要分别抽取的人数为( )

A.16、10、10、4 B.18、8、8、6

C.18、10、10、2 D.15、8、8、9

查看答案和解析>>

科目:高中数学 来源:2016届云南师大附中高考适应性月考四文科数学试卷(解析版) 题型:填空题

点P为双曲线右支上的一点,其右焦点为,若直线的斜率为

M为线段的中点,且,则该双曲线的离心率为

查看答案和解析>>

科目:高中数学 来源:2016届辽宁省大连市高三12月月考理科数学试卷(解析版) 题型:选择题

各项为正的等比数列中,的等比中项为,则( )

A.1 B.2 C.3 D.4

查看答案和解析>>

科目:高中数学 来源:2016届山东省枣庄市高三12月月考文科数学试卷(解析版) 题型:解答题

已知数列的各项均不为0,其前n项和为,且满足

(1)求的值;

(2)求证是等差数列;

(3)若,求数列的通项公式,并求

查看答案和解析>>

科目:高中数学 来源:2016届河北省邯郸市高三一轮收官考试一文科数学试卷(解析版) 题型:选择题

已知集合,则( )

A. B. C. D.

查看答案和解析>>

科目:高中数学 来源:2016届甘肃省高三上第四次月考文科数学试卷(解析版) 题型:解答题

设命题:函数的值域为;命题:不等式对一切均成立.如果命题“”为真命题,且“”为假命题,求实数的取值范围.

查看答案和解析>>

科目:高中数学 来源:2016届福建省高三上学期期中理科数学试卷(解析版) 题型:解答题

已知向量,函数,且当时,的最小值为2

(Ⅰ)求的单调递增区间;

(Ⅱ)先将函数的图象上的点纵坐标不变,横坐标缩小到原来的,再把所得的图象向右平移个单位,得到函数的图象,求方程在区间上所有根之和.

查看答案和解析>>

科目:高中数学 来源:2015-2016学年辽宁省葫芦岛市高二上期中理科数学卷(解析版) 题型:选择题

若双曲线与直线无公共点,则离心率的取值范围( )

A. B. C. D.

查看答案和解析>>

同步练习册答案