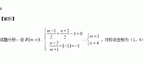
精英家教网 > 高中数学 > 题目详情

点A(-1,2)关于直线的对称点B的坐标是( )

A.(1,4) B.(2,5) C.(-1,2) D.(-2,1)

练习册系列答案
相关习题

科目:高中数学 来源:2016届浙江省瑞安市高三上学期第一次四校联考文科数学试卷(解析版) 题型:填空题

已知角的终边经过点(-4,3),则= =

查看答案和解析>>

科目:高中数学 来源:2015-2016学年江西省高二上学期第一次月考数学试卷(解析版) 题型:解答题

(10分)四面体ABCD及其三视图如图所示,平行于棱AD,BC的平面分别交四面体的棱AB,BD,DC,CA于点E,F,G,H.

(1)求四面体ABCD的体积;

(2)证明:四边形EFGH是矩形.

查看答案和解析>>

科目:高中数学 来源:2015-2016学年江西省南昌市高一上学期第一次月考数学试卷(解析版) 题型:选择题

集合各有两个元素,中有一个元素,若集合同时满足:(1),(2),则满足条件的个数为( )

A. B. C. D.

查看答案和解析>>

科目:高中数学 来源:2015-2016学年江西省南昌市高二10月月考数学试卷(解析版) 题型:填空题

已知点P(0,-1)在圆外,则k的取值范围为

查看答案和解析>>

科目:高中数学 来源:2016届浙江宁波效实中学高三上期中考试文科数学试卷(解析版) 题型:解答题

在四棱锥中,底面是边长的菱形,分别为的中点.

(1)求证:

(2)求二面角的大小的正弦值;

(3)求点到面距离.

查看答案和解析>>

科目:高中数学 来源:2016届浙江宁波效实中学高三上期中考试理科数学试卷(解析版) 题型:填空题

已知全集,集合,集合

查看答案和解析>>

科目:高中数学 来源:2016届河南省原名校高三上学期第一次联考文科数学试卷(解析版) 题型:选择题

是定义在上的函数,其导函数为,若,则不等式(其中为自然对数的底数)的解集为( )

A. B.

C. D.

查看答案和解析>>

科目:高中数学 来源:2015-2016学年辽宁省大连市高一上学期期中考试数学试卷(解析版) 题型:选择题

下面结论中,不正确的是 ( ).

A.若,则函数在定义域内均为增函数

B.函数图象关于直线对称

C.表示同一函数

D.若,则一定有

查看答案和解析>>

同步练习册答案