精英家教网 > 高中数学 > 题目详情

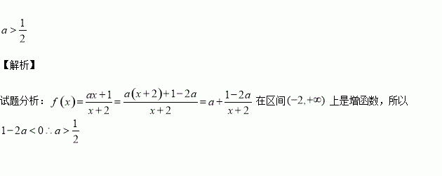
已知函数在区间上是增函数,则实数a的取值范围是

练习册系列答案
相关习题

科目:高中数学 来源:2015-2016学年广东省普宁市高一上学期期中考试数学试卷(解析版) 题型:选择题

函数的零点所在的大致区间是( )

A. B. C. D.

查看答案和解析>>

科目:高中数学 来源:2016届湖南省长沙市高三上学期月考五文科数学试卷(解析版) 题型:解答题

已知A、B分别是椭圆的左右顶点,右焦点与抛物线的焦点F重合.

(1)求椭圆C的方程;

(2)已知点P是椭圆C上异于A、B的动点,直线l过点A且垂直于x轴,若过F作直线FQ垂直于AP,并交直线l于点Q,证明:Q、P、B三点共线.

查看答案和解析>>

科目:高中数学 来源:2015-2016学年四川省雅安市高二11月月考文科数学试卷(解析版) 题型:解答题

已知的顶点边上的中线所在直线为

(Ⅰ)求的方程;

(Ⅱ)求点关于直线的对称点的坐标.

查看答案和解析>>

科目:高中数学 来源:2015-2016学年四川省雅安市高二11月月考理科数学试卷(解析版) 题型:选择题

已知直线恒过定点A,点A也在直线上,其中均为正数,则的最小值为( )

A.2 B.4 C.6 D.8

查看答案和解析>>

科目:高中数学 来源:2015-2016学年浙江省金兰教育合作组织高一上学期期中联考数学试卷(解析版) 题型:填空题

表示两数中的最小值,若函数,则不等式的解集是________________________

查看答案和解析>>

科目:高中数学 来源:2015-2016学年江苏省南通市高二上学期期中考试数学试卷(解析版) 题型:填空题

已知圆与圆有公共点,则的取值范围是_____________.

查看答案和解析>>

科目:高中数学 来源:2015-2016学年山东省淄博市高一上学期期中考试数学试卷(解析版) 题型:选择题

下列四组函数中,表示相等函数的一组是( )

A.

B.

C.

D.

查看答案和解析>>

科目:高中数学 来源:2015-2016学年内蒙古巴彦淖尔一中高二上期中文科数学卷(解析版) 题型:选择题

已知椭圆+=1上的一点P到椭圆一焦点的距离为3,则P到另一焦点距离为( )

A.3 B.7 C.5 D.9

查看答案和解析>>

同步练习册答案