精英家教网 > 高中数学 > 题目详情

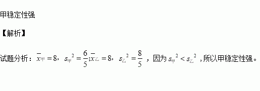
甲,乙两人在相同条件下练习射击,每人打发子弹,命中环数如下

6

8

9

9

8

10

7

7

7

9

则两人射击成绩的稳定程度是

练习册系列答案
相关习题

科目:高中数学 来源:2015-2016学年江苏省泰州市姜堰区高二上学期期中考试文科数学试卷(解析版) 题型:填空题

已知椭圆的右焦点为.短轴的一个端点为,直线,若点到直线的距离不小于,则椭圆的离心率的取值范围是

查看答案和解析>>

科目:高中数学 来源:2015-2016学年广东省高一上第一次月考数学试卷(解析版) 题型:解答题

(10分)已知集合A={x| }, B={x| } 求 ;

查看答案和解析>>

科目:高中数学 来源:2015-2016学年广东省高二上学期期中考试理科数学试卷(解析版) 题型:解答题

(本小题满分12分)

某校从参加高二年级期中考试的学生中随机抽取名学生,将其数学成绩(均为整数)分成六段后得到如下部分频率分布直方图,观察图形的信息,回答下列问题:

(1)求分数在内的频率,并补全这个频率分布直方图;

(2)根据频率分布直方图,估计本次数学成绩的平均数;

(3)用分层抽样的方法在分数段为的学生中抽取一个容量为的样本,将该样本看成一个总体,从中任取人,求至多有人分数在的概率.

查看答案和解析>>

科目:高中数学 来源:2015-2016学年安徽省高一上学期第一次月考数学试卷(解析版) 题型:选择题

任取,称是[a,b]上的严格下

凸函数,则下列函数中是严格下凸函数的有( )

A.个 B.个 C.个 D.

查看答案和解析>>

科目:高中数学 来源:2015-2016学年安徽省阜阳市高二上第一次调研考理科数学试卷(解析版) 题型:解答题

(本小题满分12分)

甲厂以x千克/小时的速度匀速生产某种产品(生产条件要求),每小时可获得利润是元.

(1)要使生产该产品2小时获得的利润不低于3000元,求x的取值范围(6分);

(2)要使生产900千克该产品获得的利润最大,问:甲厂应该选取何种生产速度?并求最大利润(6分).

查看答案和解析>>

科目:高中数学 来源:2016届云南省高三上学期第一次月考理科数学试卷(解析版) 题型:选择题

双曲线)的左右焦点分别为,过的直线与双曲线的右支交于两点,若是以为直角顶点的等腰直角三角形,则( )

A. B. C. D.

查看答案和解析>>

科目:高中数学 来源:2016届黑龙江哈尔滨六中高三上期中文科数学试卷(解析版) 题型:选择题

设双曲线的渐近线与抛物线相切,则该双曲线的离心率等于( )

A. B. C. D.

查看答案和解析>>

科目:高中数学 来源:2015-2016学年江苏省高一上期中考试数学试卷(解析版) 题型:填空题

函数满足对任意都有成立,则a的取值范围是

查看答案和解析>>

同步练习册答案