精英家教网 > 高中数学 > 题目详情

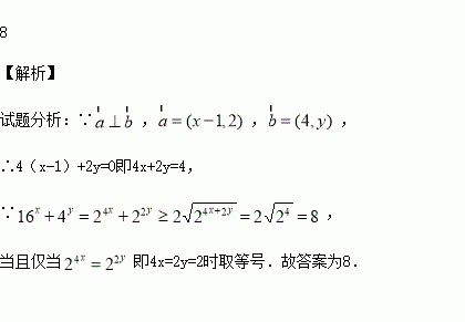
已知向量,若,则的最小值为______.

练习册系列答案
相关习题

科目:高中数学 来源:2016届福建省高三上学期期中理科数学试卷(解析版) 题型:选择题

已知函数 ,且,则( )

A、 B、 C、 D、

查看答案和解析>>

科目:高中数学 来源:2015-2016学年江西省高一重点上期中数学卷(解析版) 题型:解答题

已知A={x|-1<x≤3},B={x|m≤x<1+3m}.

(1)当m=1时,求A∪B;

(2)若,求实数m的取值范围.

查看答案和解析>>

科目:高中数学 来源:2015-2016学年江西省高二上期中理科数学卷(解析版) 题型:解答题

函数的值域为恒成立,若为假,为真,求实数的取值范围。

查看答案和解析>>

科目:高中数学 来源:2015-2016学年江西省高二上期中文科数学试卷(解析版) 题型:选择题

已知为抛物线上一个动点,为圆上一个动点,那么点到点的距离与点到抛物线的准线距离之和的最小值是( )

A. B. C. D.

查看答案和解析>>

科目:高中数学 来源:2015-2016学年黑龙江省高一上期末数学试卷(解析版) 题型:解答题

已知函数

(Ⅰ)求函数定义域和值域;

(Ⅱ)若函数与函数定义域相同,求函数的值域.

查看答案和解析>>

科目:高中数学 来源:2015-2016学年河北省高二上期中文科数学试卷(解析版) 题型:填空题

三棱锥中,为等边三角形,,三棱锥的外接球的表面积为________.

查看答案和解析>>

科目:高中数学 来源:2015-2016学年贵州省凯里市高二上期末文科数学试卷(解析版) 题型:选择题

已知分别是双曲线的左,右焦点,左支上的一点,且,则( )

A.10 B.8 C.4 D.2

查看答案和解析>>

科目:高中数学 来源:2016届广西河池高中高三上第五次月考文科数学试卷(解析版) 题型:选择题

如图,正方体 中,的中点,用过点的平面截去该正方体的上半部分,则剩余几何体的左视图为( )

A. B. C. D.

查看答案和解析>>

同步练习册答案