精英家教网 > 高中数学 > 题目详情

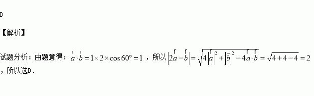
向量的夹角为,且,则等于( )

A.1 B. C. D.2

练习册系列答案
相关习题

科目:高中数学 来源:2016届河南省高三考前冲刺三文科数学试卷(解析版) 题型:解答题

选修4-4:坐标系与参数方程

直角坐标系中曲线C的参数方程为为参数).

(1)求曲线C的直角坐标方程;

(2)经过点M(2,1)作直线交曲线C于A,B两点,若M恰好为线段AB的三等分点,求直线的斜率.

查看答案和解析>>

科目:高中数学 来源:2016届河南省高三考前冲刺二文科数学试卷(解析版) 题型:选择题

若将函数的图象向左平移个单位长度后所得图象与原图象重合,则的值不可能为( )

A.4 B.6 C.8 D.12

查看答案和解析>>

科目:高中数学 来源:2017届河北省高三上周练一数学试卷(解析版) 题型:填空题

要得到函数的图象,需将函数的图象向右平移至少个单位(其中),则=

查看答案和解析>>

科目:高中数学 来源:2017届河北省高三上周练一数学试卷(解析版) 题型:选择题

已知,则( )

A. B. C. D.

查看答案和解析>>

科目:高中数学 来源:2015-2016学年陕西西藏民族学院附中高一下期末数学试卷(解析版) 题型:解答题

已知向量.

(1)若,求的值;

(2)若为锐角,求的范围;

(3)当时,求的值.

查看答案和解析>>

科目:高中数学 来源:2015-2016学年陕西西藏民族学院附中高一下期末数学试卷(解析版) 题型:选择题

,则函数的最小值为( )

A.-4 B.-3 C.-1 D.0

查看答案和解析>>

科目:高中数学 来源:2016届河北省高三下练习五文科数学试卷(解析版) 题型:解答题

如图,在三棱柱中,

(1)求证:平面

(2)若,求三棱锥的体积.

查看答案和解析>>

科目:高中数学 来源:2016届河南省高三考前冲刺四文科数学试卷(解析版) 题型:选择题

已知集合,i为虚数单位,则下列选项正确的是( )

A. B. C. D.

查看答案和解析>>

同步练习册答案