精英家教网 > 高中数学 > 题目详情
已知曲线C:xy=1,过C上一点An(xn,yn)作一斜率为的直线交曲线C于另一点An+1(xn+1,yn+1),点列An(n=1,2,3,…)的横坐标构成数列{xn},其中
(1)求xn与xn+1的关系式;
(2)求证:{}是等比数列;
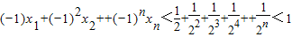
(3)求证:(-1)x1+(-1)2x2+(-1)3x3+…+(-1)nxn<1(n∈N,n≥1).
【答案】分析:(1)根据点An的坐标表示出斜率kn,代入求得xnxn+1=xn+2整理后即可求得xn与xn+1的关系式;
(2))记,把(1)中求得xn与xn+1的关系式代入可求得an+1=-2an推断数列{an}即:{}是等比数列;
(3)由(2)可求得的表达式,进而求得xn,进而看n为偶数时,求得(-1)n-1xn-1+(-1)nxn=,进而可证(-1)x1+(-1)2x2+(-1)3x3+…+(-1)nxn<1;再看n为奇数时,
前n-1项为偶数项,则可证出:(-1)x1+(-1)2x2++(-1)n-1xn-1+(-1)nxn<1,最后综合原式可证.
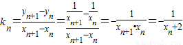
解答:解:(1)过C:上一点An(xn,yn)作斜率为kn的直线交C于另一点An+1

于是有:xnxn+1=xn+2
即:
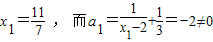
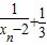
(2)记

因为
因此数列{}是等比数列.
(3)由(2)知:
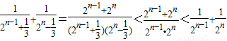
①当n为偶数时有:(-1)n-1xn-1+(-1)nxn=
=
于是在n为偶数时有:
1在n为奇数时,前n-1项为偶数项,
于是有:(-1)x1+(-1)2x2++(-1)n-1xn-1+(-1)nxn
综合①②可知原不等式得证.
点评:本题主要考查了数列的递推式.考查了学生推理能力和基本的运算能力.
练习册系列答案
相关习题

科目:高中数学 来源: 题型:

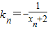
已知曲线C:xy=1,过C上一点An(xn,yn)作一斜率为kn=-
1
xn+2
的直线交曲线C于另一点An+1(xn+1,yn+1),点列An(n=1,2,3,…)的横坐标构成数列{xn},其中x1=
11
7

(1)求xn与xn+1的关系式;
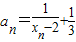
(2)求证:{
1
xn-2
+
1
3
}是等比数列;
(3)求证:(-1)x1+(-1)2x2+(-1)3x3+…+(-1)nxn<1(n∈N,n≥1).

查看答案和解析>>

科目:高中数学 来源: 题型:

已知曲线C:xy=1,过C上一点A1(x1,y1)作斜率k1的直线,交曲线C于另一点A2(x2,y2),再过A2(x2,y2)作斜率为k2的直线,交曲线C于另一点A3(x3,y3),…,过An(xn,yn)作斜率为kn的直线,交曲线C于另一点An+1(xn+1,yn+1)…,其中x1=1,kn=-
xn+1
x
2
n
+4xn
(x∈N*)

(1)求xn+1与xn的关系式;
(2)判断xn与2的大小关系,并证明你的结论;
(3)求证:|x1-2|+|x2-2|+…+|xn-2|<2.

查看答案和解析>>

科目:高中数学 来源: 题型:

已知曲线C:xy=1,过C上一点An(xn,yn)作一斜率kn=-
1
xn+2
的直线交曲线C于另一点An+1(xn+1,yn+1).
(1)求xn与xn+1之间的关系式;
(2)若x1=
11
7
,求证:数列
1
xn-2
+
1
3
是等比数列;
(3)求证:(-1)x1+(-1)2x2+(-1)3x3+…(-1)nxn<1(n∈N*

查看答案和解析>>

科目:高中数学 来源: 题型:

已知曲线C:xy=1
(1)将曲线C绕坐标原点逆时针旋转45°后,求得到的曲线C的方程;
(2)求曲线C的焦点坐标和渐近线方程.

查看答案和解析>>

科目:高中数学 来源: 题型:

(2009•滨州一模)已知曲线C:xy=1,过C上一点An(xn,yn)作一斜率为kn=
1
xn+2
的直线交曲线C于另一点An+1(xn+1,yn+1),点列{An}的横坐标构成数列{xn},其中x1=
11
7

(I)求xn与xn+1的关系式;
(II)令bn=
1
xn-2
+
1
3
,求证:数列{bn}是等比数列;
(III)若cn=3n-λbn(λ为非零整数,n∈N*),试确定λ的值,使得对任意n∈N*,都有cn+1>cn成立.

查看答案和解析>>

同步练习册答案