精英家教网 > 高中数学 > 题目详情

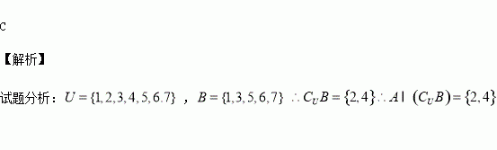
已知全集)等于( )

A.{2,4,6} B.{1,3,5}

C.{2,4} D.{2,5}

练习册系列答案
相关习题

科目:高中数学 来源:2015-2016学年河北省高一上学期一调数学试卷(解析版) 题型:选择题

已知,则的值是( )

A. B. C. D.

查看答案和解析>>

科目:高中数学 来源:2015-2016学年江苏省泰州市姜堰区高二上学期期中考试文科数学试卷(解析版) 题型:填空题

已知双曲线过点,且渐近线方程为,则该双曲线的标准方程为

查看答案和解析>>

科目:高中数学 来源:2015-2016学年河北省高一10月月考数学试卷(解析版) 题型:选择题

设函数,则f[f(1)]=( )

A.0 B.1 C.2 D.3

查看答案和解析>>

科目:高中数学 来源:2015-2016学年河北省高二10月月考文科数学试卷(解析版) 题型:选择题

若命题“p或q”为真,“非p”为真,则( )

A.p真q真 B.p假q假 C.p真q假 D.p假q真

查看答案和解析>>

科目:高中数学 来源:2015-2016学年广东省英德市高一上学期第一次月考数学试卷(解析版) 题型:选择题

使一次函数f(x)=kx+b为增函数的一个条件是( )

A.k<0 B.k≤0 C.k>0 D.k≥0

查看答案和解析>>

科目:高中数学 来源:2015-2016学年广东省高一上第一次月考数学试卷(解析版) 题型:解答题

(12分)函数f(x)=2x-的定义域为(0,1](a为实数).

(1)当a=1时,求函数y=f(x)的值域;

(2)若函数y=f(x)在定义域上是减函数,求a的取值范围.

查看答案和解析>>

科目:高中数学 来源:2015-2016学年广东省高二上学期期中考试理科数学试卷(解析版) 题型:解答题

(本小题满分12分)

已知等比数列的前项和为,且

(1)求的值及数列的通项公式

(2)求数列的前项和

查看答案和解析>>

科目:高中数学 来源:2016届黑龙江哈尔滨六中高三上期中文科数学试卷(解析版) 题型:填空题

直线l1:y=x+a和l2:y=x+b将单位圆C:x2+y2=1分成长度相等的四段弧,则=________.

查看答案和解析>>

同步练习册答案