精英家教网 > 高中数学 > 题目详情

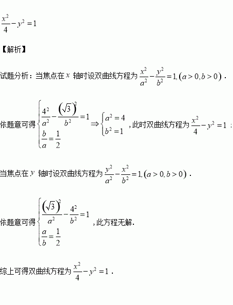
已知双曲线过点,且渐近线方程为,则该双曲线的标准方程为

练习册系列答案
相关习题

科目:高中数学 来源:2016届甘肃省高三上学期期中理科数学试卷(解析版) 题型:填空题

如图所示,在边长为1的正方形OABC中任取一点M,则点M恰好取自阴影部分的概率是

查看答案和解析>>

科目:高中数学 来源:2015-2016学年广东东华高中高一上学期前段段考数学试卷(解析版) 题型:解答题

(本小题满分14分)已知二次函数的图象过点,且函数是偶函数.

(1)求的解析式;

(2)已知,,求函数上的最大值和最小值;

(3)函数的图象上是否存在这样的点,其横坐标是正整数,纵坐标是一个完全平方数?如果存在,求出这样的点的坐标;如果不存在,请说明理由.

查看答案和解析>>

科目:高中数学 来源:2015-2016学年四川省德阳市高一10月月考数学试卷(解析版) 题型:选择题

是方程的两个实根,则的最小值为 ( )

A、 B、0 C、16 D、

查看答案和解析>>

科目:高中数学 来源:2015-2016学年内蒙古巴彦淖尔市高一10月月考数学试卷(解析版) 题型:选择题

,则( )

A. B. C. D.

查看答案和解析>>

科目:高中数学 来源:2015-2016学年江苏省泰州市姜堰区高二上学期期中考试理科数学试卷(解析版) 题型:填空题

若椭圆的离心率与等轴双曲线的离心率互为倒数,则

查看答案和解析>>

科目:高中数学 来源:2015-2016学年湖北省黄石市高一10月月考数学试卷(解析版) 题型:选择题

已知集合U={1,2,3,4},M={1,2,3},N={2,3,4},则∁U(M∩N)=( )

A.{1,2} B.{2,3} C.{2,4} D.{1,4}

查看答案和解析>>

科目:高中数学 来源:2015-2016学年河北省唐山市高一10月月考数学试卷(解析版) 题型:选择题

已知全集)等于( )

A.{2,4,6} B.{1,3,5}

C.{2,4} D.{2,5}

查看答案和解析>>

科目:高中数学 来源:2015-2016学年安徽省阜阳市高二上第一次调研考文科数学试卷(解析版) 题型:解答题

(1)已知a>b>0,c<d<0,e<0,比较的大小.

(2)已知,求的范围

查看答案和解析>>

同步练习册答案