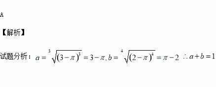
精英家教网 > 高中数学 > 题目详情

,则( )

A. B. C. D.

练习册系列答案
相关习题

科目:高中数学 来源:2016届甘肃省高三上学期期中文科数学试卷(解析版) 题型:选择题

是定义在上的增函数,且对任意,都有恒成立,如果实数满足不等式,那么的取值范围是( )

A.(9,49) B.(13,49) C.(9,25) D.(3,7)

查看答案和解析>>

科目:高中数学 来源:2015-2016学年广东省高一上学期期中数学试卷(解析版) 题型:解答题

(本小题满分12分)定义在R上的函数满足:对任意实数,总有,且当时,.

(Ⅰ)试求的值;

(Ⅱ)判断的单调性并证明你的结论.

查看答案和解析>>

科目:高中数学 来源:2015-2016学年四川省德阳市高二10月月考数学试卷(解析版) 题型:选择题

在长方体ABCD-A1B1C1D1,底面是边长为2的正方形,高为4,则点A1到截面AB1D1的距离为( )

A. B. C. D.

查看答案和解析>>

科目:高中数学 来源:2015-2016学年四川省德阳市高一10月月考数学试卷(解析版) 题型:选择题

下列四个图像中,是函数图像的是( )

A、(1) B、(1)、(3)、(4)

C、(1)、(2)、(3) D、(3)、(4)

查看答案和解析>>

科目:高中数学 来源:2015-2016学年江苏省泰州市姜堰区高二上学期期中考试文科数学试卷(解析版) 题型:填空题

已知双曲线过点,且渐近线方程为,则该双曲线的标准方程为

查看答案和解析>>

科目:高中数学 来源:2015-2016学年江苏省泰州市姜堰区高二上学期期中考试理科数学试卷(解析版) 题型:填空题

设命题P:,则P为

查看答案和解析>>

科目:高中数学 来源:2015-2016学年河北省高二10月月考文科数学试卷(解析版) 题型:选择题

若命题“p或q”为真,“非p”为真,则( )

A.p真q真 B.p假q假 C.p真q假 D.p假q真

查看答案和解析>>

科目:高中数学 来源:2015-2016学年安徽省高一上学期第一次月考数学试卷(解析版) 题型:填空题

若幂函数的图象经过点,则的值是________

查看答案和解析>>

同步练习册答案