精英家教网 > 高中数学 > 题目详情
已知抛物线y2=2px(p>0)的经过焦点的弦AB的两端点坐标分别为A(x1,y1)、B(x2,y2),则的值一定等于( )
A.4
B.-4
C.p2
D.-p2
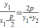
【答案】分析:弦AB斜率k===,由A、F、B三点共线,知k=,所以,解得y1y2=-p2.由==,由此能求出的值.
解答:解:弦AB斜率k=
=
=,①
∵A、F、B三点共线,
∴k=,②
由①,②得

∴y1y2+y12=2px1-p2
∵y12=2px1
∴y1y2=-p2,③

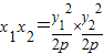
=
=
=,④
因此,由(4)÷(3)得
=
故选B.
点评:本题考查直线和抛物线的位置关系的应用,是中档题.解题时要认真审题,注意抛物线性质的灵活运用.
练习册系列答案
相关习题

科目:高中数学 来源: 题型:

已知抛物线y2=2px(p>0).过动点M(a,0)且斜率为1的直线l与该抛物线交于不同的两点A、B,|AB|≤2p.
(1)求a的取值范围;
(2)若线段AB的垂直平分线交x轴于点N,求△NAB面积的最大值.

查看答案和解析>>

科目:高中数学 来源: 题型:

已知抛物线y2=2px(p>0)的焦点为F,准线为l.
(1)求抛物线上任意一点Q到定点N(2p,0)的最近距离;
(2)过点F作一直线与抛物线相交于A,B两点,并在准线l上任取一点M,当M不在x轴上时,证明:
kMA+kMBkMF
是一个定值,并求出这个值.(其中kMA,kMB,kMF分别表示直线MA,MB,MF的斜率)

查看答案和解析>>

科目:高中数学 来源: 题型:

已知抛物线y2=2px(p>0).过动点M(a,0)且斜率为1的直线l与该抛物线交于不同的两点A、B,|AB|≤2p.求a的取值范围.

查看答案和解析>>

科目:高中数学 来源: 题型:

(2009•聊城一模)已知抛物线y2=2px(p>0),过点M(2p,0)的直线与抛物线相交于A,B,
OA
OB
=
0
0

查看答案和解析>>

科目:高中数学 来源: 题型:

已知抛物线y2=2px(p>0),M(2p,0),A、B是抛物线上的两点.求证:直线AB经过点M的充要条件是OA⊥OB,其中O是坐标原点.

查看答案和解析>>

同步练习册答案