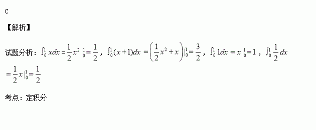
精英家教网 > 高中数学 > 题目详情

下列值等于1的是( )

(A) (B) (C) (D)

练习册系列答案
相关习题

科目:高中数学 来源:2014-2015学年福建省四地六校高二下学期第一次联考理科数学试卷(解析版) 题型:选择题

从含有甲乙的6名短跑运动员中任选4人参加4*100米接力,问其中甲不能跑第一棒,且乙不能跑第四棒的概率是:( )

A. B. C. D.

查看答案和解析>>

科目:高中数学 来源:2014-2015学年安徽省高一下学期第一次质量检测数学试卷(解析版) 题型:填空题

已知的值是 .

查看答案和解析>>

科目:高中数学 来源:2014-2015学年安徽省高二4月月考理科数学试卷(解析版) 题型:解答题

(本小题满分12分)已知函数.

(Ⅰ)求函数在点处的切线方程;

(Ⅱ)求过点的函数的切线方程.

查看答案和解析>>

科目:高中数学 来源:2014-2015学年安徽省高二4月月考理科数学试卷(解析版) 题型:选择题

的导函数,的图象如右图所示,则的图象只可能是( )

查看答案和解析>>

科目:高中数学 来源:2014-2015学年湖北省等四校高三下学期期中文科数学试卷(解析版) 题型:解答题

已知函数

(Ⅰ)若关于的不等式的解集为,求实数的值;

(Ⅱ)若对任意的恒成立,求实数的取值范围

查看答案和解析>>

科目:高中数学 来源:2014-2015学年湖北省等四校高三下学期期中文科数学试卷(解析版) 题型:填空题

方程确定的曲线即为的图象,对于函数有如下结论:

单调递增;②函数不存在零点;

的图象与的图象关于原点对称,则的图象就是方程确定的曲线;④的图象上的点到原点的最小距离为1.

则上述结论正确的是 (只填序号)

查看答案和解析>>

科目:高中数学 来源:2014-2015学年湖北省等四校高三下学期期中理科数学试卷(解析版) 题型:解答题

如图所示,在四棱锥P-ABCD中,底面ABCD为直角梯形,AD∥BC,∠ADC=90°,平面PAD⊥底面ABCD,E为AD的中点, PA=PD=4,BC=AD=2,CD=

(Ⅰ)求证:PA⊥CD;

(Ⅱ)若M是棱PC的中点,求直线PB与平面BEM所成角的正弦值;

(Ⅲ)在棱PC上是否存在点N,使二面角N-EB-C的余弦值为,若存在,确定点N的位置;若不存在,请说明理由.

查看答案和解析>>

科目:高中数学 来源:2014-2015学年黑龙江省高三下学期第三次模拟理科数学试卷(解析版) 题型:选择题

等比数列中,,前3项和为,则公比的值是( )

A.1 B.- C.1或- D.-1或-

查看答案和解析>>

同步练习册答案