精英家教网 > 高中数学 > 题目详情

选修4-4:坐标系与参数方程

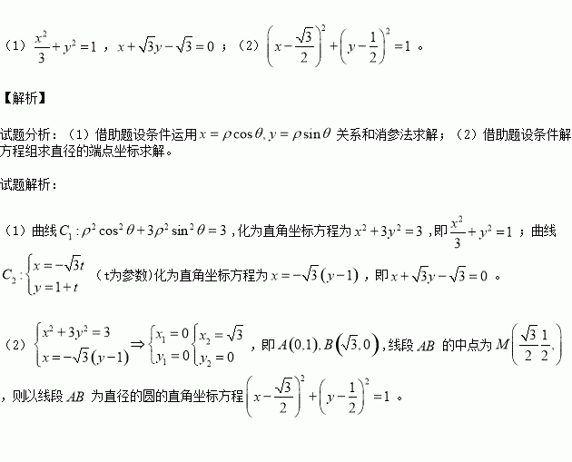
在直角坐标系中,在坐标原点为极点,轴正半轴为极轴建立极坐标系,已知曲线的极坐标方程为,曲线的参数方程是(t为参数)。

(1)求曲线的直角坐标方程;

(2)设曲线交于两点,求以线段为直径的圆的直角坐标方程。

练习册系列答案
相关习题

科目:高中数学 来源:2016届陕西省高三下学期教学质检二数学(文)试卷(解析版) 题型:解答题

设函数

(Ⅰ)讨论的单调性;

(Ⅱ)若,证明:对任意

查看答案和解析>>

科目:高中数学 来源:2016届陕西省高三下学期教学质检二数学(理)试卷(解析版) 题型:选择题

已知等比数列的前项和为.若,则( )。

A. B. C. D.

查看答案和解析>>

科目:高中数学 来源:2016届陕西省高三高考全真模拟四数学(文)试卷(解析版) 题型:选择题

已知双曲线的一个焦点与抛物线的焦点相同,它们交于两点,且直线过点,则双曲线的离心率为( )

A. B. C. D.

查看答案和解析>>

科目:高中数学 来源:2016届陕西省高三高考全真模拟四数学(文)试卷(解析版) 题型:选择题

是不共线的两个向量,若命题,命题夹角是锐角,则命题是命题成立的( )

A.充分不必要条件

B.必要不充分条件

C.充要条件

D.即不充分也不必要条

查看答案和解析>>

科目:高中数学 来源:2016届陕西省高三高考全真模拟四数学(理)试卷(解析版) 题型:解答题

如下图,梯形中,,且,沿将梯形折起,使得平面平面

(1)证明:平面

(2)求平面和平面所成锐二面角的余弦值。

查看答案和解析>>

科目:高中数学 来源:2016届陕西省高三高考全真模拟四数学(理)试卷(解析版) 题型:选择题

已知双曲线的一个焦点与抛物线的焦点相同,它们交于两点,且直线过点,则双曲线的离心率为( )

A. B. C. D.

查看答案和解析>>

科目:高中数学 来源:2016年内蒙古包头市高三学业水平测试与评估(二)数学理试卷(解析版) 题型:解答题

如图1,已知矩形中,分别是的中点,对角线交于点,沿将矩形折起,使平面与平面所成角为60°,在图2中:

(1)求证:

(2)求平面与平面所成角的余弦值。

查看答案和解析>>

科目:高中数学 来源:2016届江西省萍乡市高三下学期第二次模拟考试数学(理)试卷(解析版) 题型:选择题

,则等于( )

A.1

B.

C.

D.

查看答案和解析>>

同步练习册答案